Изучение темы Минеральные удобрения в школьном курсе химииРефераты >> Педагогика >> Изучение темы Минеральные удобрения в школьном курсе химии
Азотные удобрения получают из аммиака и азотной кислоты на химических заводах. Наиболее типичные азотные удобрения представлены в таблице 11.
Аммиачную селитру NH4N03 — довольно концентрированное азотное удобрение (34,5% азота) получают по реакции между аммиаком и азотной кислотой:
Выпускают это удобрение в мелкокристаллическом виде или в форме гранул. Относится к лучшим азотным удобрениям и пригодна к применению на кислых и щелочных почвах. Дальнейшее совершенствование технологии производства аммиачной селитры должно идти в направлении улучшения ее физических свойств: чтобы селитра не слеживалась, важно повысить прочность гранул, которая позволяла бы смешивать аммиачную селитру механизированным способом с другими удобрениями.
Мочевина также является эффективной формой азотных удобрений. Она имеет высокое содержание азота (46%) и меньше слеживается по сравнению с аммиачной селитрой.
Жидкий аммиак — это высококонцентрированное удобрение (82% азота). В сельском хозяйстве, используют не посредственно жидкий аммиак, а также аммиакаты, получаемые при растворении в нем аммиачной селитры или смеси аммиачной и кальциевой селитры.
Названия и химический состав калийных удобрений представлены в таблице 1. Основным сырьем для их производства служит минерал сильвинит КС1 • NaCl, богатейшие залежи которого располагаются в Соликамске. Здесь на глубине от 100 до 300 м залегают миллиарды тонн сильвинита.
Каким способом отделить хлорид калия от хлорида натрия? Растворимость хлорида натрия с понижением температуры почти не изменяется, а растворимость хлорида калия резко уменьшается. Поэтому при охлаждении до комнатной температуры насыщенного при 100 °С раствора сильвинита в воде значительная часть хлорида калия выпадает в осадок. Кристаллы отделяют фильтрованием, а раствор используют для растворения следующей порции сильвинита. Этот способ осуществляют в промышленности.
Фосфорные удобрения (табл. 2) получают при переработке руд, содержащих фосфор (фосфориты и апатиты), из костей животных в небольшом количестве и отходов металлургического производства (шлаки).
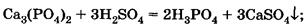
Простой суперфосфат Са(Н2Р04)2 + 2CaS04 получают при взаимодействии фосфоритной или апатитовой муки с серной кислотой по уравнению:
Простой суперфосфат применяют для питания всех культур. К недостаткам его относится наличие гипса CaS04, который является балластом и тем самым удорожает транспортировку удобрения от завода до поля. Поэтому особое значение он имеет для культур, нуждающихся, кроме фосфора, в гипсе (клевер и другие бобовые). Лучшей формой его применения является гранулированный простой суперфосфат.
Двойной суперфосфат Са(Н2Р04)2 отличается от простого тем, что не содержит гипса. Выпускается в виде порошка и гранул. Его производство осуществляется в две стадии:
б) жидкую часть отделяют от осадка (гипса и других примесей) и обрабатывают ею новую порцию сырья:
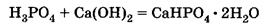
Преципитат СаНР04 • 2Н20 получают взаимодействием Н3Р04, полученной экстракционным способом, с известковым молоком или мелом:
Или
Отечественный агрохимик Д. Н. Прянишников предложил получать преципитат путем обработки фосфатного сырья азотной кислотой. При этом дополнительно образуется кальциевая селитра. Преципитат можно смешивать с любым удобрением. Он может применяться на всех почвах и под различные культуры.
В последнее время большой интерес вызывает возможность применения в качестве удобрения красного фосфора. Он неядовит, является самым концентрированным фосфорсодержащим продуктом (229% в пересчете на Р205). Его можно вносить в почву в запас на ряд лет. Агрохимические исследования показали, что из общего количества внесенного в почву красного фосфора за сезон в растение переходит 15—17%, остальное количество остается в почве и используется в последующие годы.
Почему фосфоритную муку целесообразно вносить в почву до посева?
Почему внесенная в почву фосфоритная мука действует в течение нескольких лет?
Почему некоторые фосфорные удобрения (фосфоритная мука, преципитат, красный фосфор), внесенные в почву, сохраняют свои питательные свойства в течение нескольких лет, а калийные удобрения нужно вносить в почву ежегодно?
Какие питательные элементы содержатся в комплексных удобрениях: фосфат калия, калийная селитра, дигидрофосфат аммония (аммофос)? Какова массовая доля каждого питательного элемента в этих удобрениях?
Комнатные растения можно поливать подкормкой из минеральных удобрений: в 1 л воды растворяют 2,5 г KN03, 2,5 г КН2Р04 и 10 г Ca(N03)2. Какова массовая доля (в %) каждого из компонентов в такой подкормке?
В образце суперфосфата массовая доля оксида фосфора (V) составляет 20%. Найдите массовую долю дигидрофосфата кальция в удобрении.
Водный раствор содержит 39,2 г фосфорной кислоты. Его нейтрализовали раствором, содержащим 37 г гидроксида кальция. Найдите массу полученного преципитата.
Глава 2. Изучение минеральных удобрений в школе
В школьном курсе химии минеральные удобрения рассматриваются подробно в IX классе. Как известно, состав удобрений, их свойства, применение и эффективность изучает специальная наука — агрохимия (агрономическая химия). Основы агрохимии в школе рассматриваются на факультативных занятиях «Химия в сельском хозяйстве. Хотелось бы заметить, что если в городских школах изучение минеральных удобрений может носить общепознавательный характер, то в сельских школах к рассмотрению этого вопроса следует подойти более подробно как в теоретическом так и в практическом плане. Изучение минеральных удобрений, на современном научном уровне окажет большую помощь школьникам для подготовки их к практической деятельности в сельском хозяйстве. В связи с этим и хочется поделиться отдельными мыслями по улучшению изучения минеральных удобрений в школе и их практическому применению.
Минеральные удобрения, как правило, содержат некоторое количество различных примесей (балласта). Это зависит от сырья и технологии получения удобрений. Поэтому называть удобрения, хотя бы для примера, химически чистыми веществами (как дано в учебнике неорганической химии для IX класса), не совсем правильно. Искусственное введение понятия об удобрениях как о химически чистых веществах нередко вводит учителей в заблуждение, и многие из них используют на уроках химически чистые реактивы вместо натуральных удобрений (хлористого калия, сульфата аммония, суперфосфата и др.). Вполне понятно, что внешний вид и проявление химических реакций у таких химически чистых веществ будут отличаться от удобрений.
