Исследование особенностей домашнего задания по физкультуреРефераты >> Педагогика >> Исследование особенностей домашнего задания по физкультуре
1. Учебный план школы. Нормы максимально допустимой нагрузки школьников регламентированы Санитарными правилами и нормами СанПин 2.4.2. - 576 - 96.
|
Максимально допустимое количество часов в неделю при разной ее продолжительности | ||
|
Классы |
Максимально допустимая недельная нагрузка в часах | |
|
при 6-дневной неделе |
при 5-дневной неделе | |
|
3 - летняя начальная школа | ||
|
1-3 |
25 |
22 |
|
4 - летняя начальная школа | ||
|
1 |
22 |
20 |
|
2-4 |
25 |
22 |
|
5 |
31 |
28 |
|
6 |
32 |
29 |
|
7 |
34 |
31 |
|
8-9 |
35 |
32 |
|
10-11 |
36 |
33 |
2. Дача домашних заданий регламентируется СанПин 2.4.2. - 576 - 96 в следующих пределах:
- в 1-м классе (со второго полугодия) - до 1 ч.,
- во 2-м - до 1,5 ч.,
- в 3-4-м до 2 ч.,
- в 5-6-м до 2,5 ч.,
- в 7-8-м до 3 ч.,
- в 9-11-м до 4 ч.
3. Учет трудности предметов нормами СанПин 2.4.2. - 576 - 96 рекомендовано производить на основании таблицы И.Г.Сивкова (1975 г.), при дополнительном оценивании современных предметов (информатика, профильные дисциплины) не менее, чем в 10 баллов.
|
Предмет |
Кол-во баллов |
Предмет |
Кол-во баллов |
|
Математика, русский язык (для нац. школ) |
11 |
Физкультура |
5 |
|
Иностранный язык |
10 |
Труд |
4 |
|
Физика, химия |
9 |
Черчение |
3 |
|
История |
8 |
Рисование |
2 |
|
Родной язык, литература |
7 |
Пение |
1 |
|
Естеств-е, география |
6 |
2.3 Исходные положения, допущения и расчетные формулы методики изучения временных затрат на выполнение домашних заданий учащимися
1. Расчет производился в соответствии с методическими рекомендациями по предупреждению учебной перегрузки учащихся (Бабанский Ю.К. "Оптимизация учебно-воспитательного процесса"):
- не давать домашних заданий на понедельник;
- не давать домашних заданий по рисованию, пению, труду и физкультуре.
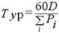
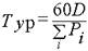
2. Расчетная формула предельного времени выполнения домашнего задания по условному предмету (на 1 урок) имеет вид:
3. Расчетная формула предельного времени выполнения домашнего задания с учетом трудности отдельного предмета (на 1 урок) имеет вид:
где Тур- искомое предельное время выполнения домашнего задания (мин.);
D - предельное время выполнения домашних заданий в течение недели, по гигиеническим требованиям (час.).
Bi - трудность отдельного, i-го предмета по таблице Сивкова И.Г. (баллы)
Pi - количество часов в учебном плане по i - му предмету.
3. Методика оценки эффективности воздействия выполнения домашнего задания по физкультуре на развитие ребенка
3.1 Методика работы
Первоначально было проведено знакомство со специальной литературой для приобретения информации о том, какое воздействие оказывает школа в целом, школьная нагрузка, режим школьника на здоровье подростка.
Для оценки состояния здоровья учащихся и выявления факторов, влияющих на него в нашей школе, были проанализированы «Индивидуальные карты ребенка (ф.№26) 10 обычного и гимназического классов: данные за 5 и 9 классы. Также анализировалась информация в классных журналах о количестве пропущенных за год уроков по болезни. Полученная информация была оформлена в виде карт здоровья и обобщена в сравнительной таблице 1.
Данные обрабатывались по следующей методике:
- Показатель временной нетрудоспособности = число дней, пропущенных по болезни: число наблюдаемых детей.
- Показатель уровня здоровья = число детей с 1 и 2 группой здоровья: число наблюдаемых детей.
- Индекс здоровья = число неболевших детей: число наблюдаемых детей, умноженное на 100%.
- Количество детей с хроническими заболеваниями: определяется по отношению числа школьников с хроническими заболеваниями к общему числу наблюдаемых детей, выраженному в %.
- Количество детей по видам заболеваний: определяется по отношению числа детей с определенным видом заболевания к общему числу детей, выраженному в %.
- Группы здоровья: по каждой группе здоровья отношение числа школьников к общему числу детей, выраженному в %.
- Группы физкультуры: по каждой группе физкультуры отношение числа школьников к общему числу детей, выраженному в %.
Руководствуясь тем, что личное отношение к здоровью и учебе играет немаловажную роль, было проведено анкетирование в исследуемых классах.
