Термодинамические основы подземной выплавки серы
Температура перегретой воды, подаваемой в серную залежь, не должна превышать 160 °С, так как при температуре выше этой вязкость расплавленной серы начинает повышаться. В связи с этим температура воды у устья добычной скважины должна быть такой, чтобы с учетом теплопотерь при ее движении по трубам температура на входе в рудное тело не превышала бы 160°С и в то же время была бы достаточной для обеспечения эффективной выплавки серы из руды.
Температуру воды в рудном теле стараются поддерживать равной 155 — 159°С. Теплопотери теплоносителя при его движении по трубам в начальный период весьма значительны (10 — 15%), а при установившемся режиме они составляют около 1%. С учетом этого температура воды у устья скважины должна быть около 160 °С.
В каждой серодобычной скважине можно выделить два участка: первый — от устья скважины до ее забоя и второй — призабойная зона рудной залежи. Первый участок выполняет функции транспортных магистралей для перемещения перегретой воды, расплавленной серы и сжатого воздуха. Второй участок выполняет функции естественного автоклава. На первом участке геплопотери теплоносителя в среднем составляют около 1%, а остальная энергия теряется непосредственно в рудной залежи и выносится расплавленной серой на поверхность. Непосредственно на нагрев и плавление собственно серы затрачивается около 3 — 5% энергии перегретой воды, а остальная энергия безвозмездно теряется.
В общем случае уравнение теплового баланса можно записать следующим образом:
Q=Qтр+Qп , (14.3)
где Q — энергия теплоносителя у устья скважины, Дж; Q тр -- потери энергии теплоносителя при транспортировании по трубам водоподающей колонны, Дж; Q п-- потери энергии теплоносителя в пласте, Дж.
В свою очередь, величина Qп слагается из следующих составляющих:
Qп=Q1+Q2+Q3+Q4+Q5+Q6, (14.4)
где Q1 — количество тепла, необходимого на нагрев серы, Дж; Q2 — теплота плавления серы, Дж; Q3 — количество тепла, необходимого на нагрев породного скелета рудной залежи, Дж; Q4 — тепло утечек теплоносителя в покрывающую толщу, Дж; Q5 — остаточная теплота теплоносителя, Дж; Q6 — прочие виды тепловых потерь, Дж.
Параметры процесса ПВС.
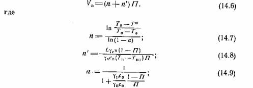
Рассмотрим некоторый объем пласта серной руды пористостью П, из которого предстоит выплавить серу. Пусть начальная температура руды равна Т0. Предположим, что процесс нагнетания перегретой воды в пласт происходит некоторыми порциями Если обозначить температуру перегретой воды через Tв, то после нагнетания первой порции воды температура руды поднимется и станет равной Т /,после нагнетания второй порции температура руды повысится от Т / до Т // и т.д. Для каждой порции нагнетания можно составить систему уравнений теплового баланса, которые имеют вид:
где γв и γр -- плотность воды и руды, кг/м3; св и ср — удельная теплоемкость воды и руды, Дж/(кг . °С)
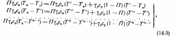
Согласно исследованиям Г. X. Хчеяна, объем воды Vв который необходим для нагревания 1 м3 руды в пласте до температуры Тп при условии рассмотрения этого процесса, как состоящего из п серии последовательных закачек воды, равен
L — удельная теплота плавления серы, Дж/кг; γс —плотность серы, кг/м3; v — объем серы, содержащийся в 1 м3 руды, м3/м3; Тпл— температура плавления серы, °С.
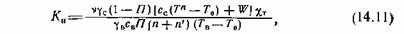
Принимая во внимание, что в единице объема руды содержится v(l—П)γс тонн серы, объемный расход теплоносителя V (м3/кг) на выплавку 1 кг серы будет
где χт — технологический коэффициент извлечения серы при ее подземной выплавке, χт=0,8÷ 0,9.
Коэффициент использования тепла Ки при ПВС можно определить из очевидной формулы,
где сс — удельная теплоемкость серы, Дж/(кг . °С). Принимая во внимание то обстоятельство, что падение температуры воды при ее движении от устья скважины до пласта практически отсутствует, и то, что оптимальной температурой расплавленной серы по фактору ее вязкости является Т=159 °С, в выражениях (14.7), (14.8) и (14.11) вместо Тп следует подставлять 159°С, а вместо Тв — соответственно 160°С.
Скорость движения фронта плавления (υ nu, м/с) серы при подземной выплавке определяется из выражения
![]()
![]()
![]()
dRγв св qв 14.12
dτ2πhR(γрср+Qпл /(Тв-Т0))
где R — радиус зоны плавления серы, м; qв — объемный расход перегретой воды, м3/с; h — мощность пласта, м; Qпл — количество тепла, необходимое для плавления серы в единице объема руды, Дж/м3.
Количество серы Мс (кг/с), добываемой в единицу времени методом подземной. выплавки, зависит от свойств руды, расходных и термодинамических параметров теплоносителя:
14.13
Техника и технология подготовки и эксплуатации серодобычных скважин.
Вскрытие месторождения при применении метода ПВС осуществляют системой добычных и вспомогательных скважин. Добычные скважины предназначены для нагнетания теплоносителя в рудную залежь и откачки расплавленной серы. Вспомогательные скважины по своему назначению делятся на разведочные, водоотливные, оценочные и контрольные.
Добычные скважины являются одновременно вскрывающими, подготовительными и нарезными выработками. Оборудование для бурения скважин выбирают в зависимости от глубины залегания рудной залежи. Как правило, это станки, применяемые для поискового глубинного бурения. Бурение скважины до продуктивной толщи производят с применением глинистых растворов. По глубине сероносной залежи бурение ведут с промывкой чистой водой. Перебур рудной залежи делают глубиной 1—1,5 м.
Цементацию кондуктора производят обычным цементом, приготовленным на воде, цементацию обсадной колонны осуществляют термостойким цементом. Цементация затрубного пространства обеспечивает герметичность скважины и снижает агрессивное влияние на трубы сероводородных пластовых вод. Спустя 16—24 ч с момента окончания цементации скважины производят ее испытание на герметичность путем нагнетания воды. При наличии воды у устья скважины в затрубном пространстве приступают к повторной ее цементации.
