Финансовый механизм внешнеэкономической деятельностиРефераты >> Геополитика >> Финансовый механизм внешнеэкономической деятельности
Если валюта платежа не совпадает с валютой цены, то в контракте указывается курс, по которому валюта цены будет переведена в валюту платежа. Чаще всего перевод валюты цены в валюту платежа осуществляется по курсу, действующему в стране, где производится платеж.
В контракте указываются конкретные сроки платежа и условия рассрочки в случае ее предоставления, а также обязательный перечень документов, передаваемых продавцом покупателю и подтверждающих факт отгрузки, стоимость и номенклатуру отгруженных товаров.
Если сроки платежа не установлены в контракте прямо или косвенно, то платеж обычно производится через определенное число дней после уведомления продавцом покупателя о том, что товар предоставлен в его распоряжение; при других условиях поставки - через определенное число дней после уведомления продавцом покупателя об отправке товара (в зависимости от торговых обычаев, принятых в международной практике).
Одним из ключевых условий "финансовой части" внешнеторгового контракта является способ платежа, определяющий, когда производится оплата товара по отношению к его фактической поставке. Кратко охарактеризуем основные способы платежа.
Наличный платеж производится через банк до или после передачи экспортером товарораспорядительных документов или самого товара в распоряжение покупателя. Он предусматривает оплату товара в полной стоимости в период от его готовности к экспорту до момента перехода в распоряжение покупателя. Наличный платеж может осуществляться единовременно (по получении телеграфного извещения экспортера о готовности товара к отгрузке или телеграфного извещения капитана судна об окончании погрузки товара на борт в порту отправления; после вручения импортеру комплекта товарных документов, перечисленных в контракте, и т.д.) и по частям - несколькими взносами в соответствии с условиями, предусмотренными в контракте.
Платеж с авансом предполагает выплату покупателем - импортером поставщику - экспортеру определенных в контракте сумм в счет причитающихся по контракту платежей до передачи товара в его распоряжение (чаще всего - до начала исполнения контракта). Аванс может быть предоставлен как в денежной, так и в товарной форме (путем предоставления сырья или комплектующих частей, необходимых для изготовления заказанного оборудования). С одной стороны, аванс является формой кредитования импортером экспортера, а с другой стороны, он служит средством обеспечения обязательств, принятых покупателем по контракту. При отказе покупателя принять заказанный товар поставщик имеет право обратить полученный им аванс на возмещение убытков.
Платеж в кредит предусматривает осуществление расчета по сделке на основе предоставленных экспортером импортеру фирменных (коммерческих) кредитов - краткосрочных (до одного года), среднесрочных (от 1 до 5 лет) и долгосрочных (свыше 5 лет). Фирменные кредиты также предоставляются в двух формах - товарной (путем отсрочки или рассрочки платежа и др.) и денежной.
Основными формами расчетов являются инкассовая, аккредитивная, по открытому счету, путем телеграфных и почтовых переводов, чековая и вексельная.
Инкассовая форма внешнеторговых расчетов предполагает передачу экспортером поручения своему банку на получение от импортера определенной суммы платежа против предъявления ему соответствующих товарных документов, а также векселей, чеков и других подлежащих оплате документов.
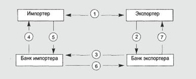
Основные этапы осуществления инкассовой операции приведены на следующей схеме.
1. Стороны (импортер и экспортер) заключают договор, в котором устанавливается, через какие банки будут производиться расчеты за внешнеторговые поставки.
2. После отгрузки товара и получения от перевозчика транспортных документов экспортер готовит комплект документов и представляет его с инкассовым поручением своему банку.
3. Банк экспортера, проверив по внешним признакам соответствие представленных документов, перечисленных в инкассовом поручении, отсылает их вместе с поручением банку - корреспонденту страны импортера.
4. Получив инкассовое поручение и документы, банк импортера представляет их плательщику (импортеру) для проверки с целью получения от него платежа. Банк страны импортера направляет извещение плательщику о том, что получено инкассовое поручение с документами с просьбой оплатить указанные документы. Документы выдаются плательщику взамен платежа.
5. Банк импортера получает платеж от импортера.
6. Банк импортера переводит выручку банку экспортера.
7. Получив перевод, банк экспортера зачисляет выручку экспортеру. Инкассовая форма расчета удобна экспортеру, так как дает ему гарантию в том, что товар не перейдет в распоряжение покупателя до тех пор, пока не будет произведена его оплата. При этом она имеет и некоторые недостатки - отсрочка получения платежа экспортером вследствие интервала между отгрузкой товара и предъявлением банку документов и получением валюты, а также возможность импортера отказаться от оплаты или оказаться неплатежеспособным к моменту получения банком импортера товарных документов.
Аккредитивная форма расчета представляет собой обязательство банка произвести по указанию и за счет покупателя - импортера платеж экспортеру на сумму стоимости поставленного товара взамен предъявленных экспортером документов.
Импортер за согласованное число дней до начала поставки или после получения извещения экспортера о готовности товара к отгрузке дает поручение своему банку открыть в банке экспортера или в другом согласованном банке аккредитив на определенную сумму и на оговоренный срок в пользу поставщика - экспортера. Перечень документов, по предъявлении которых экспортеру могут быть выплачены суммы с аккредитива, сообщается импортером банку в поручении об открытии аккредитива.
Банк извещает экспортера об открытии аккредитива и в случае необходимости подтверждает аккредитив. Если в течение срока действия аккредитива он не будет использован, с согласия покупателя или по условиям контракта аккредитив может быть продлен (пролонгирован) или отозван покупателем.
После отгрузки товара экспортер предъявляет банку, в котором открыт аккредитив, документы, подтверждающие поставку товара по перечню, содержащемуся в контракте, и получает взамен этих документов причитающиеся суммы денег, которые обычно перечисляются на его счет.
На последнем этапе операции с аккредитивом банк экспортера пересылает товарные документы банку импортера. Последний вручает их импортеру, который возмещает банку сумму аккредитива. На схеме представлены основные виды аккредитивов, применяемых на практике.
7. Основные способы платежей
Платеж наличными
Платеж наличными производится через банк до или при передаче продавцом товаросопроводительных документов или самого товара покупателю. Наличный платеж - оплата авансом или немедленно после поставки товара против предоставляемых экспортерами документов. Наличный платеж осуществляется чеками по открытому счету, переводами, аккредитивами.
