КоррупцияРефераты >> Статистика >> Коррупция
……… …………………… …………………
Для регрессии вида
найдем коэффициенты
Найдем обратную матрицу
Дополнительные миноры


Их определители
![]()
![]()
![]()
![]()
![]()
Союзная матрица
Союзная транспонированная матрица
Делим каждый элемент на определитель, получаем
Найдем
Уравнение регрессии имеет вид
Нарисуем график
Среднее значение регрессоров и Y
Парные коэффициенты корреляции
Частные коэффициенты корреляции
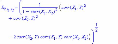
Множественный коэффициент корреляции
или
Ошибка множественного коэффициента корреляции
Коэффициент детерминации
Скорректированный
Вывод: Коэффициент при индексе коррупции оказался значимым и отрицательным. Значит, коррупция отрицательно сказывается на темпе роста региона России. Видим и замедление развития регионов, т.к. регионы с большим ВРП развиваются медленнее.
