Критерии принятия решенийРефераты >> Статистика >> Критерии принятия решений
Правило выбора для этого критерия формулируется следующим образом.
Матрица решений ||еij|| дополняется еще тремя столбцами. В первом из них записываются математические ожидания каждой из строк, во втором—разности между опорным значением ei0j0 = ZMM и наименьшим значением minj(еij) соответствующей строки. В третьем столбце помещаются разности между наибольшим значением maxj еij каждой строки и наибольшим значением max ei0j той строки, в которой находится значение ei0j0. Выбираются те варианты Ei0 строки которых (при соблюдении приводимых ниже соотношений между элементами второго и третьего столбцов) дают наибольшее математическое ожидание. А именно, соответствующее значение ei0j0 – minj еij из второго столбца должно быть меньше или равно некоторому заранее заданному уровню риска εдоп. Значение же из третьего столбца должно быть больше значения из второго столбца.
Применение этого критерия обусловлено следующими признаками ситуации, в которой принимается решение:
· вероятности появления состояний FJ неизвестны, однако имеется некоторая априорная информация в пользу какого-либо определенного распределения;
· необходимо считаться с появлениями различных состояний как по отдельности, так и в комплексе;
· допускается ограниченный риск;
· принятое решение реализуется один раз или многократно.
Таким образом, спектр применимости теории распространяется далеко за пределы предыдущих критериев. Особо следует подчеркнуть, что действие новых критериев остается вполне обозримым, хотя функция распределения может играть лишь подчиненную роль.
BL (ММ)-критерий хорошо приспособлен для построения практических решений прежде всего в области техники и может считаться достаточно надежным. Однако задание границы риска εдоп и, соответственно, оценок риска εi не учитывает ни число применений решения, ни иную подобную информацию. Влияние субъективного фактора хотя и ослаблено, но не исключено полностью;
Условие maxj еij – maxjеi0 j >= εi существенно в тех случаях, когда решение реализуется только один или малое число раз. В этих случаях недостаточно ориентироваться на риск, связанный лишь с невыгодными внешними состояниями и средними значениями. Из-за этого, правда, можно понести некоторые потери в удачных внешних состояниях. При большом числе реализации это условие перестает быть таким уж важным. Оно даже допускает разумные альтернативы.
2.Постановка задачи
Необходимо проанализировать и выбрать наилучший и наихудший объект по признакам, использую критерий Севиджа, критерий произведений и составной критерий Байеса-Лапласа минимаксный. Каждый из объектов характеризуется некоторыми статистическими данными, которые приведены в таблице 1.
Таблица 1.
|
№ n/n |
Наименование района |
Обеспеченность врачами на 10т. |
Рождаемость на 1 тыс. |
Смертность на 1 тыс. |
Смертность в трудовом возрасте |
|
1 |
Панинский |
19.7 |
7.9 |
21.0 |
1040.9 |
|
2 |
Петропавловский |
14.7 |
8.1 |
19.6 |
644.8 |
|
3 |
Поворинский |
18.9 |
7.2 |
18.4 |
1125.9 |
|
4 |
Подгоренский |
18.6 |
7.4 |
18.1 |
846.0 |
|
5 |
Рамонский |
21.8 |
6.4 |
23.3 |
1140.8 |
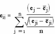
Приведённая матрица рассчитывается по следующей формуле:
![]() |
и выглядит следующим образом (Таблица 2):
Таблица 2.
|
№ n/n |
Наименование района |
Обеспеченность врачами на 10т. |
Рождаемость на 1 тыс. |
Смертность на 1 тыс. |
Смертность в трудовом возрасте |
|
1 | Панинский | 0.930 |
1.874 |
1.079 |
0.960 |
|
2 |
Петропавловский |
-3.913 | 2.623 |
-0.563 |
-3.720 |
|
3 |
Поворинский | 0.155 | -0.750 |
-1.970 |
1.964 |
|
4 |
Подгоренский | -0.136 | 0.000 |
-2.321 |
-1.343 |
|
5 | Рамонский | 2.964 | -3.748 |
3.775 |
2.140 |
3.Тестовый пример

