Гостиничный рынок Санкт-Петербурга и его статистическое исследованиеРефераты >> Статистика >> Гостиничный рынок Санкт-Петербурга и его статистическое исследование
Объясняемая вариация (ESS)
Правило сложения дисперсий выполняется
Подсчитаем оценку дисперсии ошибки, т.е.
Среднее X
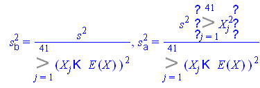
Найдем оценки дисперсий коэффициентов регрессии
по формулам
Получим
Эластичность
Подсчитаем функцию эластичности по формуле
В нашем случае
или
Значение эластичности в средней точке
Показывает, что при изменении X на 1% Y меняется на
процентов.
Изучение качества регрессии
Доверительные интервалы для оцененных параметров
уровень доверия
Количество степеней свободы
Критическое значение статистики Стьюдента
Доверительный интервал для beta
равен
Не можем на данном уровне значимости принять гипотезу beta=0 т.к. НЕ попадает в доверительный интервал.
Доверительный интервал для alpha
равен
Мы НЕ можем на данном уровне значимости принять гипотезу alpha=0 т.к. НЕ попадает в доверительный интервал.
Критерий Фишера значимости всей регрессии
Коэффициент корреляции
где
показывает, что связь СРЕДНЕЙ силы
Коэффициент детерминации
показывает, что регрессия объясняет
процентов вариации признака.
Убедимся в значимости модели с помощью статистики Фишера
которая БОЛЬШЕ критического значения
Следовательно, регрессия ЗНАЧИМА
Проверим значимость коэффициента корреляции
поэтому выборочный коэффициент корреляции ЗНАЧИМО отличается от нуля.
Средняя ошибка аппроксимации
Колеблемость признака
Колеблемость - это отклонения уровней динамического ряда от тренда, т.е. остатки регрессии.
Найдем остатки регрессии (т.е. очищаем признак от тренда)
