Механическое и естественное движение населения РоссииРефераты >> Статистика >> Механическое и естественное движение населения России
*Данные по Чеченской республике, как правило, отсутствуют, либо определены путем экспертной оценки
Рис. 4. Компоненты изменения численности населения регионов-субъектов Российской Федерации за 2003 год (по итогам за январь-ноябрь в пересчете на год), на 1000 человек населения
Рис. 5. Миграционный прирост населения России, 1980-2003, тысяч человек и в расчете на 10 тысяч человек населения
Рис. 6. Основные потоки внешней миграции в России по месяцам, 1998-2003 годы
Рис. 7. Число мигрантов, перемещающихся в пределах России, 1979-2003, тысяч человек, зарегистрированных при прибытии
Рис. 8. Число мигрантов, перемещающихся в пределах России, по месяцам, 1998-2003
Рис. 9. Динамика численности армян, азербайджанцев, грузин, таджиков и казахов по данным переписей 1959, 1970, 1979, 1989 и 2002 (1989 год = 100%)
Рис. 10. Динамика численности отдельных народов Северного Кавказа по данным переписей 1959, 1970, 1979, 1989 и 2002 (1989 год = 100%)
Рис. 11. Динамика численности отдельных народов Поволжья по данным переписей 1959, 1970, 1979, 1989 и 2002 (1989 год = 100%)
Рис. 12. Численность населения
Рис. 13. Городское и сельское население.
Рис. 14. Национальный состав.
Рис. 15. Женщины на 1000 Мужчин
Рис. 16. Брачное состояние населения.
Рис. 17. Основные потоки миграции.
Рис. 18.
Таблица 1.
|
|
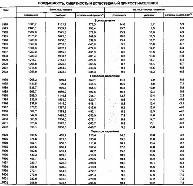
Таблица 2. Показатели естественного прироста населения.
|
|
Таблица 3. Численность вынужденных переселенцев и беженцев (человек).
[1] Приложение, стр. 37, рис.1
[2] ст.6 Федерального закона « О беженцах»
[3] Федеральный закон «О вынужденных переселенцах»
[4] Приложение, стр.37, рис.2
[5] Приложение, стр. 48, таблица 2.
[6] Приложение, стр.38, рис.3
[7] Приложение, стр.38
[8] Приложение, стр. 40, рис. 4
[9] Приложение, стр.41, рис. 6
[10] Приложение, стр. 41, рис. 7
[11] Приложение, стр. 42, рис. 8
[12] Приложение, стр. 49, таблица 3.
[13] Приложение, стр. 42, рис. 9
[14] Приложение, стр. 43, рис. 10
[15] Приложение, стр. 43, рис. 11
[16] Приложение, стр. 42, рис. 9
[17] Приложение, стр. 45, рис.14
