Механизмы передвижения подъемно-транспортных машин
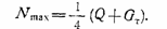
где
— вес тележки с ходовой частью и всеми механизмами;
Q — вес груза;
,
,
— расстояния от центра симметрии рамы тележки О до ее центра тяжести
и центра приложения веса груза
; a — ширина колеи ходовых колес; b — база ходовых колес.
При конструировании тележек следует стремиться к такому размещению всех механизмов на её раме, чтобы центр тяжести груженой тележки был расположен как можно ближе к центру симметрии рамы (точка О), находящемуся на равных расстояниях от ее колес. При этом давления колес тележки на рельсы примерно одинаковы.
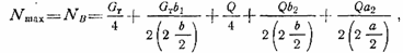
Давления на опоры моста крана. Величины нагрузок на опоры моста крана зависят от положения тележки на нем. Максимальные давления на рельсы возникают от тех колес моста, у концевой балки которых находится в этот момент тележка с номинальным грузом. В соответствии с приведенной схемой (рис. 15) колесо В передает на рельс максимальное давление. На основе принятого метода расчета без учета податливости моста под колесами тележки можно получить выражение, определяющее это давление:
откуда
где
— собственный вес моста крана, приложенный к центру тяжести, достаточно близко совпадающему с центром симметрии моста
;
— вес ходовой части тележки, приложенный в центре тяжести тележки — в точке
;
— расстояние от центра симметрии моста до центра тяжести тележки; L — колея ходовых колес моста (пролет крана);
— база ходовых колес моста.
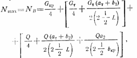
Давления на опоры консольного настенного передвижного крана. Ходовая часть консольного передвижного крана (рис. 16) выполнена в виде статически определимой системы, имеющей верхние и нижние опорные ролики с вертикальными осями, которые, передавая боковые давления на направляющие, обеспечивают устойчивость крана. Наибольшие давленая на опорах возникают при положении тележки с грузом на максимальном вылете L. Максимальные давления на вертикальные ходовые колеса и горизонтальные ролики равны:
Соответственно, давления на каждое ходовое колесо и горизонтальный ролик:
где.
— вес тележки;
— вес крана без тележки с грузом;
— число вертикальных ходовых колес;
— число горизонтальных роликов на каждой опоре (обычно
=2).
Давления на опоры тележки с канатной тягой. В конструкциях тележек с канатной тягой вследствие геометрической симметрии (рис. 9) вертикальное давление на каждое колесо тележки
Расчетная нагрузка от ходового колеса на рельс. Проверка размеров ходовых колес по контактным напряжениям является расчетом на выносливость (долговечность) и производится поэтому по некоторой эквивалентной расчетной нагрузке, учитывающей переменность давлений между ходовыми колесами и рельсами в зависимости от величины поднимаемого груза, положения его относительно ходовых колес, положения тележки на мосту крана и других факторов. Расчетная нагрузка определяется как часть максимально возможной нагрузки от колеса на рельс по формуле [7]:
где
— максимально возможная вертикальная нагрузка от ходового колеса на рельс;
— коэффициент, учитывающий режим работы механизма передвижения крана (частоту приложения нагрузки, толчки и т. п.);
— коэффициент переменности нагрузки;
где Q — вес поднимаемого груза;
— собственный вес крана с тележкой или одной тележки с учетом веса грузозахватных устройств.
Значения коэффициента режима работы назначаются по таблице:
Напряжения смятия в месте контакта колеса с рельсом. В зависимости от первоначальной (до износа) формы поверхности катания колеса и рельса между ними возможны линейный и точечный контакты. Линейный контакт возникает при качении цилиндрического колеса по рельсу из прямоугольного и квадратного профилей или конических колес .подвесных тележек по нижнему поясу двутавровой балки. Точечный контакт возникает у цилиндрических (рис. 17, а) и конических (рис. 17, б) колес с рельсами, имеющими скругленную головку, а также при качении бочкообразных колес (рис. 17, в и г) по рельсу прямоугольного профиля. Линейный контакт колеса с рельсом показан на рис, 17, д и е.
Величина местных напряжений смятия при линейном контакте (в кГ/см2):
Величина местных напряжений смятия при точечном контакте (в кГ/см2):
где
— расчетная нагрузка на колесо, кГ;
— приведенный модуль упругости материалов колеса и рельса, кГ/см2; b — ширина поверхности катания обода колеса, см; r — радиус колеcа, см;
— наибольший из двух радиусов r или
контактирующихся поверхностей (см. рис. 17), см; т — коэффициент, выбираемый по таблице [1], в зависимости от отношения
/r (при
<r ) или r/
(при r<
).
