Организация строительства и управление качествомРефераты >> Управление >> Организация строительства и управление качеством
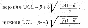
Всего ån=2500 åрn==68
Контрольные границы:
Поскольку при расчете нижней контрольной границы результат в некоторых случаях может оказаться отрицательным, в этих случаях нижняя контрольная граница отсутствует. Если при расчете LCL результат оказывается равным нулю, нижняя контрольная граница будет проходить по оси абсцисс.
4. Определенная указанным образом центральная линия обозначается 'на карте сплошной линией, а контрольные границы—пунктирной линией.
Контрольные границы р-карты меняются в зависимости от числа выборок для каждой из групп. В примере, показанном в табл. 2.13, п для каждой группы постоянно (в данном случае равно 100). Поэтому и контрольные границы, как видно на рис. 2.36, одинаковы.
Оглавление
С-карты
С помощью контрольных карт можно контролировать также суммарное число дефектов, например число царапин на поверхности изделия и т. п. В этом случае применяются так называемые С-карты. В табл. 2.14 представлены данные по подсчету числа царапин на поверхности изделия в зависимости от номера выборки.
Таблица 2.14.
|
№ выборки |
Суммарное число. дефектов С |
№ выборки |
Суммарное число дефектов С |
|
1 |
4. |
11 |
5 |
|
2 |
5 |
12 |
3 |
|
3 |
4 |
13 |
2 |
|
4 |
4 |
14 |
7 |
|
5 |
4 |
15 |
3 |
|
6. |
7 |
16 |
4 |
|
7, |
3 |
17 |
2 |
|
8 |
3 |
18 |
3 |
|
9 |
4 |
19 |
4 |
|
10 |
4 |
20 |
7 |
Построение С-карты с использованием данных из табл.2.14 производится следующим образом.
1. Значения суммарного числа дефектов С из табл. 2.14 наносят на бланк контрольной карты. В этом случае по вертикальной оси откладывают значения С,а по горизонтальной —номера выборок.
2. Определяют åC, находя сумму С для каждой из групп, и делят ее на число групп (выборок). В результате получается среднее арифметическое С’, определяющее среднюю линию. Для примера, приведенного в табл. 2.14,
3. Рассчитывают контрольные границы по следующим формулами:
верхняя контрольная граница UCL = C’+3 √С’ ;
нижняя контрольная граница LCL= С—3 √С’ ;
Для рассматриваемого примера
UCL=4,1+3√4,1=10,17;
LCL=4,l-3√4,1= - 1,97 (отсутствует).
,. Контрольная .С-карта, построенная по данным табл. 2.14, показана на рис. 2.37.
Рис 2.37. Контрольная карта (С), построенная по
данным табл.2.14:
1—номер выборки
Аналогично карте (х’—R), если все точки графика оказываются внутри контрольного диапазона р-карты или С-карты, это означает, что процесс протекает в стабильных условиях; Если же одна или несколько точек выходит за контрольные границы, это означает, что в процессе произошли какие-то отклонения, грозящие выходом дефектной продукции. При этом для предотвращения повторного «выброса» необходимо быстро найти причину отклонения и принять меры по ее устранению.
Например, в случае, когда на, р-карте контроля интенсивности окраски, точка вышла за контрольную границу, необходимо исследовать такие контрольные параметры, процесса, как соответствие стандарту на операции процесса .окрашивания, постоянство интенсивности окраски, соблюдение установленного метода сушки и т.д.
Оглавление
Организация строительства
Оглавление
Перечень и характеристики инвентарных вспомогательных зданий заводского изготовления
|
Шифр здания или номер проекта |
Назначение, вместимость, количество блок-контейнеров, размеры, площадь |
Трудоёмкость, чел.-час./м2 |
Инженерное оборудование | |||||||||||||||||||||||||||
|
монтажа демонтажа |
Системы отопления |
Системы водоснабжения | ||||||||||||||||||||||||||||
|
1. Служебные (конторы, диспетчерские, здания для проведения занятий и культурно-массовых мероприятий) Контейнерные с несъёмной ходовой частью (буксируемые) | ||||||||||||||||||||||||||||||
|
На базе системы “Контур” КУК-18 |
Здание для проведения занятий и культурно-массовых мероприятий на 18 мест; одиночный контейнер, размер, м: 3х9х3; общая площадь, м2: 25,1 |
0,1…0,3 0,05…0,08 |
Электрическая |
Автономная из встроенного бака 1000 л, горячее водоснабжение–из бака с нагревом элетротэнами | ||||||||||||||||||||||||||
|
На базе системы “ЦУБ” ЦУБ-7 |
Контора на 5 рабочих мест; размер, м: 3,2х9,6х4,2; общая площадь, м2: 27,5 |
0.4…0,8 0,1…0,2 |
С автономным, водяным отоплением от котла типа КЧМ |
Централизованное или автономное из встроенного бака 800 л | ||||||||||||||||||||||||||
|
На базе системы “Контур” КК-5 |
Контора на 5 рабочих мест; размер 3х9х3; общая площадь, м2: 25,1 |
0,1…0,3 0,05…0,08 |
Электрическая |
Автономная из встроенного бака 1000 л, горячее водоснабжение–из бака с нагревом элетротэнами | ||||||||||||||||||||||||||
|
На базе системы “Контур” ТБК-1 |
Здание для проведения занятий и культурно-массовых мероприятий на 15 мест; размер, м: 3х9х3; общая площадь, м2: 25,1 |
0,1…0,3 0,02…0,05 |
Электрическая |
Автономная из встроенного бака 1000 л, горячее водоснабжение–из бака с нагревом элетротэнами | ||||||||||||||||||||||||||
|
Контейнерные без ходовой части (перевозимые) | ||||||||||||||||||||||||||||||
|
На базе системы “Универсал” 1129-022 |
Контора на 2 рабочих места; размер, м:3х6х2,9; общая площадь, м2: 15,5 |
0,1…0,8 0,03…0,07 |
Электрическая |
Централизованное от внешней сети | ||||||||||||||||||||||||||
|
На базе системы “Днепр” Д-03-К |
Контора мастера на 2 рабочих места; размер, м: 3х6х2,9; общая площадь, м2: 15,7 |
0.2…0,3 0,02…0,6 |
Электрическая |
От внешней сети или из встроенного бака | ||||||||||||||||||||||||||
|
На базе системы “Лесник” 420-11-21М |
Контора на 3 рабочих места; размер, м: 3х6х2,8; общая площадь, м2: 15,0 |
0,2…0,3 0,07…0,3 |
От внешних сетей, или автономное водяное, или электрическое |
От внешнего источника | ||||||||||||||||||||||||||
|
На базе системы “Нева” 7203-У1 |
Контора прораба на 3 рабочих места; размер 3х6х3; общая площадь, м2: 15,4 |
0,05…0,1 0,01…0,03 |
Электрическая |
Автономная из встроенных баков с электороподогревом | ||||||||||||||||||||||||||
|
На базе системы “Комфорт” К-4 |
Контора прораба на 4 рабочих места; размер, м: 3х9х2,9; общая площадь, м2: 24,5 |
0,3…0,6 0,2…0,2 |
Электрическая |
От внешней сети или из встроенного бака с электроподогревом | ||||||||||||||||||||||||||
|
На базе системы “КУБ” 31603 |
Контора на 4 рабочих места; размер, м: 3х6,6х2,9; общая площадь, м2: 18,0 |
0,3…0,4 0.05…0,1 |
Водяная или электрическая |
Автономная из встроенных баков с электороподогревом | ||||||||||||||||||||||||||
|
420-130 |
Контора на 4 рабочих места; размер, м: 3х9х3; общая площадь, м2: 23,0 |
0,3…0,4 0.05…0,1 |
Электрическая |
Централизованное от внешней сети | ||||||||||||||||||||||||||
|
На базе системы “Комплект” 31805 |
Контора на 5 рабочих места; размер, м: 3х6,7х2,9; общая площадь, м2: 18,3 |
0,2…0,4 0.02…0,05 |
Электрическая |
Централизованное от внешней сети | ||||||||||||||||||||||||||
|
На базе системы “Нева” 7150-4 |
Контора прораба на 5 рабочих места; размер, м: 3х9х3; общая площадь, м2: 24,6 |
0,05…0,1 0,01…0,03 |
Электрическая |
Автономная из встроенных баков с электороподогревом | ||||||||||||||||||||||||||
|
На базе системы “Комфорт” ПД |
Диспетчерская на 3 рабочих места; размер, м: 3х9х2,9; общая площадь, м2: 24,3 |
0,3…0,6 0,2…0,2 |
Электрическое с помощью колориферов или водяное от внешних сетей |
От внешней сети или из встроенного бака с электроподогревом | ||||||||||||||||||||||||||
|
На базе системы “КУБ” 31614 |
Диспетчерская на 3 рабочих места; размер, м: 3х9х2,9; общая площадь, м2: 18,0 |
0,3…0,4 0.05…0,1 |
Водяное или электрическое |
Автономная из встроенных баков с электороподогревом | ||||||||||||||||||||||||||
|
На базе системы “Комфорт” КУ-11 |
Здание для проведения занятий и культурно-массовых мероприятий на 11 человек; размер, м: 3х9х2,9; общая площадь, м2: 24,3 |
0,3…0,6 0,2…0,2 |
Электрическое с помощью колориферов или водяное от внешних сетей |
Централизованное от внешней сети | ||||||||||||||||||||||||||
|
Сборно-разборные здания из блок-контейнеров | ||||||||||||||||||||||||||||||
|
На базе системы “Геолог” КМ |
Контора мастера, медкомнота, камеральное помещение на 1 рабочее место; размеры здания в плане, м: 6х6; размеры блок-контейнера, м: 3х6х3; общая площадь, м2: 32,5 |
1.6…2.0 0.6…0.7 |
Водяная от внешней сети или от водогрейного котла на твёрдом топливе или электрическая |
От внешней сети или из встроенного бака с электроподогревом | ||||||||||||||||||||||||||
|
На базе системы “Геолог” КУМ |
Здание для проведения занятий и культурно-массовых мероприятий на 15 человек; размеры здания в плане, м: 6х6; размеры блок-контейнера, м: 3х6х3; общая площадь, м2: 46,0 |
1 .6…2.0 0.6…0.7 |
Водяная от внешней сети или от водогрейного котла на твёрдом топливе или электрическая |
От внешней сети или из встроенного бака с электроподогревом | ||||||||||||||||||||||||||
|
420-120 |
Здание для проведения занятий и культурно-массовых мероприятий на 20 человек; размеры здания в плане, м: 9х6; размеры блок-контейнера, м: 3х9х3; общая площадь, м2: 46,0 |
1.6…2.0 0.6…0.7 |
Электрическая |
Централизованное от внешней сети | ||||||||||||||||||||||||||
|
На базе системы “Пионер” 7056 |
Контора прораба на 6 рабочих места; размер, м: 9х6х2,9; размеры блок-контейнера, м: 3х9х2,9, общая площадь, м2: 44,3 |
6,32 2,1 |
Водяная от внешней сети или от водогрейного котла на твёрдом,жидком или газообразном топливе или электрическая |
От внешней сети или из встроенного бака с электроподогревом | ||||||||||||||||||||||||||
|
На базе системы “Нева” 7203 |
Здание для проведения занятий и культурно-массовых мероприятий на 40 человек; размеры здания в плане, м: 12х6; размеры блок-контейнера, м: 3х6х3; общая площадь, м2: 23,5 |
0,05…0,1 0,01…0,03 |
Водяная из внешней сети |
Автономная из встроенных баков с электороподогревом | ||||||||||||||||||||||||||
|
2. Санитарно-бытовые (гардеробные, душевые, здания для кратковременного отдыха и обогрева рабочих, сушилки, уборные) Контейнерные со съёмной ходовой частью | ||||||||||||||||||||||||||||||
|
На базе системы “КУБ” 10405 |
Гардеробная на 5 человек; размеры, м: 3х6х2,9; общая площадь, м2: 17,2 |
0,3…0,4 0.05…0,1 |
Водяная из внешней сети или электрическая |
Автономная из встроенных баков с электороподогревом | ||||||||||||||||||||||||||
|
На базе системы “ЦУБ” 10403 |
Здание для отдыха и обогрева рабочих на 5 человек; размер, м: 3,2х9,6х4,2; общая площадь, м2: 17,2 |
0.4…0,8 0,1…0,2 |
Водяная из внешней сети |
Централизованное или автономное из встроенного бака 800 л | ||||||||||||||||||||||||||
|
На базе системы “Нева” |
Гардеробная на 12 человек; размер, м: 3х9х3,1; общая площадь, м2: 24,6 |
0,3…0,4 0.05…0,1 |
Электрическая |
Автономная из встроенных баков с электороподогревом | ||||||||||||||||||||||||||
|
На базе системы “Нева” |
Гардеробная на 8 человек с инструментальной; размер, м: 3х9х3,1; общая площадь, м2: 24,6 |
0,3…0,4 0.05…0,1 |
Электрическая |
Автономная из встроенных баков с электороподогревом | ||||||||||||||||||||||||||
|
На базе системы “Нева” |
Бригадные нормокомплекты инструментов; размер, м: 3х6х3,1; общая площадь, м2: 16,2 |
0,3…0,4 0.05…0,1 |
Электрическая |
Автономная из встроенных баков с электороподогревом | ||||||||||||||||||||||||||
|
На базе системы “ЦУБ” 1875 |
Здание для отдыха и обогрева рабочих на 12 человек; размер, м: 3,2х6х4,2; общая площадь, м2: 27,5 |
0.4…0,8 0,1…0,2 |
Автономная водяная |
Централизованное или автономное из встроенного бака 800 л | ||||||||||||||||||||||||||
|
Контейнерные без ходовой части (перевозимые) | ||||||||||||||||||||||||||||||
|
На базе системы “Нева” 7150-2 |
Гардеробная на 8 человек; размер, м: 3х9х3; общая площадь, м2: 24,6 |
0,05…0,1 0,01…0,03 |
Электрическая |
Автономная из встроенных баков с электороподогревом | ||||||||||||||||||||||||||
|
На базе системы “Геолог” ГД8 |
Гардеробная на 8 человек; размер, м: 3х6х3; общая площадь, м2: 17,0 |
1.6…2.0 0,01…0,03 |
Водяная от внешней сети или от водогрейного котла на твёрдом топливе или электрическая |
От внешней сети или из встроенного бака с электроподогревом | ||||||||||||||||||||||||||
|
На базе системы “Универсал” 1129-020 |
Гардеробная на 6 (12) человек; размер, м: 3х6х2,9; общая площадь, м2: 15,5 |
0,1…0,8 0,03…0,07 |
Электрическая |
Централизованное от внешней сети | ||||||||||||||||||||||||||
|
На базе системы “Нева” 7150-1 |
Гардеробная на 12 человек; размер, м: 3х9х3; общая площадь, м2: 24,6 |
0,05…0,1 0,01…0,03 |
Электрическая |
Автономная из встроенных баков с электороподогревом | ||||||||||||||||||||||||||
|
На базе системы “Комфорт” Г-14 |
Гардеробная на 14 человек; размер, м: 3х9х2,9; общая площадь, м2: 24,3 |
0,3…0,6 0,2…0,2 |
Электрическое с помощью колориферов или водяное от внешних сетей |
От внешней сети или из встроенного бака с электроподогревом | ||||||||||||||||||||||||||
|
420-140 |
Гардеробная на 16 человек; размер, м: 3х9х3; общая площадь, м2: 23,0 |
0,3…0,6 0,2…0,2 |
Электрическая |
Централизованное от внешней сети | ||||||||||||||||||||||||||
|
На базе системы “Комплект” 31804 |
Гардеробная на 16 человек; размер, м: 3х6,7х2,9; общая площадь, м2: 18,3 |
0,2…0,4 0.02…0,05 |
Электрическая |
Централизованное от внешней сети | ||||||||||||||||||||||||||
|
На базе системы “Днепр” Д-06-К |
Гардеробная с умывальней на 16 человек; размер, м: 3х6,7х2,9; общая площадь, м2: 15,7 |
0.2…0,3 0,02…0,6 |
Электрическая |
От внешней сети или из встроенного бака | ||||||||||||||||||||||||||
|
На базе системы “КУБ” 31600 |
Гардеробная с сушилкой на 16 человек; размер, м: 3х6,6х2,9; общая площадь, м2: 18,0 |
0,3…0,4 0.05…0,1 |
Водяная от внешней сети или электрическая |
Автономная из встроенных баков с электороподогревом | ||||||||||||||||||||||||||
|
На базе системы “Комфорт” Д-6 |
Душевая на 6 сеток; размер, м: 3х9х2.9; общая площадь, м2: 24,3 |
0,3…0,6 0,2…0,2 |
Электрическое с помощью колориферов или водяное от внешних сетей |
От внешней сети или из встроенного бака с электроподогревом | ||||||||||||||||||||||||||
|
На базе системы “Универсал” 1120-024 |
Здания для кратковременного отдыха, обогрева и сушки одежды рабочих; размер, м: 3х6х2.9; общая площадь, м2: 15,5 |
0,1…0,8 0,03…0,07 |
Электрическое |
Централизованное от внешней сети | ||||||||||||||||||||||||||
|
На базе системы “Днепр” Д-09-К |
Уборная на одно очко; размер, м: 1.3х1.2х2.4; общая площадь, м2: 1,4 |
0,1 0,05 |
Электрическая |
От внешней сети или из встроенного бака | ||||||||||||||||||||||||||
|
На базе системы “Комфорт” У-6 |
Уборная на 6 очков; размер, м: 3х9х2,9; общая площадь, м2: 24,3 |
0,3…0,6 0,1…0,2 |
Электрическое с помощью колориферов или водяное от внешних сетей |
От внешней сети или из встроенного бака с электроподогревом | ||||||||||||||||||||||||||
|
На базе системы “Днепр” Д-10-К |
Уборная на 4 очка с комнатой для гигиены женщин; размер, м:3х6х2,9; общая площадь, м2: 15,7 |
0.2…0,3 0,02…0,6 |
Электрическая |
От внешней сети или из встроенного бака | ||||||||||||||||||||||||||
|
Сборно-разборные здания из блок-контейнеров | ||||||||||||||||||||||||||||||
|
На базе системы “Пионер” 7067 |
Гардеробная на24 места (с душевой); размер, м: 9х6х2,9; размеры блок-контейнера, м: 3х9х2,9, общая площадь, м2: 44,5 |
6,32 2,1 |
Водяная от внешней сети или от водогрейного котла на твёрдом,жидком или газообразном топливе или электрическая |
От внешней сети или из встроенного бака с электроподогревом | ||||||||||||||||||||||||||
|
На базе системы “Геолог” ГД-15 |
Душевая с гардеробной на 15 человек; размеры здания в плане, м: 6х6; размер блок-контейнера, м: 3х6х3; общая площадь, м2: 70,0 |
1 .6…2.0 0.6…0.7 |
Водяная от внешней сети или от водогрейного котла на твёрдом топливе или электрическая |
От внешней сети или из встроенного бака с электроподогревом | ||||||||||||||||||||||||||
|
3. Общественного питания (буфеты, столовые раздаточные и доготовочные) Контейнерные со съёмной ходовой частью (буксируемые) | ||||||||||||||||||||||||||||||
|
ВС-12 |
Столовая-доготовочная на 12 посадочных мест; размер, м: 2,8х9,1х3.8; общая площадь, м2: 19,8 |
0,3…0,6 0,1…0,2 |
Водяная от внешней сети |
Централизованное от внешней сети | ||||||||||||||||||||||||||
|
На базе системы “Комфорт” Б-8 |
Столовая-раздаточная (буфет) на 8 посадочных мест; размер, м: 3х6х2,9; общая площадь, м2: 15,6 |
0,3…0,6 0,1…0,2 |
Электрическое с помощью колориферов или водяное от внешних сетей |
От внешней сети или из встроенного бака с электроподогревом | ||||||||||||||||||||||||||
|
На базе системы “Мелиоратор” ИЗК-1,2 |
Столовая-раздаточная на 14 посадочных мест; размер, м: 3х6х2,9; общая площадь, м2: 15,6 |
0,2…0.4 0.01…0.03 |
Электрическая |
От внешней сети или из встроенного бака с электроподогревом | ||||||||||||||||||||||||||
|
Сборно-разборнные из блок-контейнеров | ||||||||||||||||||||||||||||||
|
На базе системы “Геолог” ЗУС |
Столовая-договочная на 5 посадочных мест; размер, м: 6х6х3; размеры блок-контейнера, м: 3х6х3; общая площадь, м2: 32,5 |
1.6…2.0 0.6…0.7 |
Водяная от внешней сети или от водогрейного котла на твёрдом топливе или электрическая |
От внешней сети или из встроенного бака с электроподогревом | ||||||||||||||||||||||||||
|
На базе системы “Комфорт” С-16 |
Столовая-договочная на 16 посадочных мест; размер, м: 9х6х2,9; размеры блок-контейнера, м: 3х9х2,9; общая площадь, м2: 48,6 |
0,3…0,6 0,1…0,2 |
Электрическое с помощью колориферов или водяное от внешних сетей |
От внешней сети или из встроенного бака с электроподогревом | ||||||||||||||||||||||||||
|
420-110 |
Столовая-договочная на 20 посадочных мест; размер, м: 9х9х3; размеры блок-контейнера, м: 3х9х3; общая площадь, м2: 69,0 |
0,3…0,6 0,1…0,2 |
Водяная от внешней сети |
Централизованное от внешней сети | ||||||||||||||||||||||||||
|
На базе системы “Универсал” 1129-031 |
Столовая-договочная на 36 посадочных мест; размер, м: 12х9х2,9; размеры блок-контейнера, м: 3х6х2,9; общая площадь, м2: 105,0 |
0,1…0,8 0,03…0,07 |
Электрическая |
Централизованное от внешней сети | ||||||||||||||||||||||||||
|
На базе системы “Пионер” |
Столовая на сырье на 75 посадочных мест (с выпечкой хлеба); размер, м: 12х27х2,9; размеры блок-контейнера, м: 3х9х2,9; общая площадь, м2: 514 |
3,12 1,2 |
Водяная от внешней сети или от водогрейного котла на твёрдом,жидком или газообразном топливе или электрическая |
От внешней сети электроподогревом | ||||||||||||||||||||||||||
|
На базе системы “Вахта” |
Столовая на сырье на 100 посадочных мест; размер, м: 24х27х2,9; размеры блок-контейнера, м: 12х2,9х2,9; общая площадь, м2: 613,0 |
5,92 1,97 |
Водяная от внешней сети |
Централизованное от внешней сети | ||||||||||||||||||||||||||
|
На базе системы “Нева” |
Столовая-раздаточная на 50 посадочных мест; размер, м: 12х18х3,1; размеры блок-контейнера, м: 3х6х3,1; общая площадь, м2: 97,3 |
0,72 0,24 |
Водяная от внешней сети |
Водяная от внешней сети | ||||||||||||||||||||||||||
|
На базе системы “Вахта” |
Столовая на сырье на 60 посадочных мест; размер, м: 18х24х2,9; размеры блок-контейнера, м: 12х2,9х2,9; общая площадь, м2: 385,0 |
5,76 1,92 |
Водяная от внешней сети |
Централизованное от внешней сети | ||||||||||||||||||||||||||
|
На базе системы “Нева” 7150-1 |
Столовая-договочная на 50 посадочных мест; размер, м: 12х9х3; размеры блок-контейнера, м: 3х6х3; общая площадь, м2: 100,5 |
0,05…0,1 0,01…0,03 |
Водяная от внешней сети |
Автономная из встроенных баков с электороподогревом | ||||||||||||||||||||||||||
|
4. Лечебно-профилактические Контейнерные со съёмной ходовой частью (буксируемые) | ||||||||||||||||||||||||||||||
|
На базе системы “ЦУБ” ЦУБ-4М |
Здравпункт на 2 рабочих места; размеры 3,2х9,6х4,2; общая площадь, м2: 27,5 |
0.4…0,8 0,1…0,2 |
Автономная водяная |
Централизованное или автономное из встроенного бака 800 л | ||||||||||||||||||||||||||
|
Контейнерные без ходовой части (перевозимые) | ||||||||||||||||||||||||||||||
|
На базе системы “Комфорт” МП |
Медпункт на 1 рабочее место; размеры 3 х9х2,9; общая площадь, м2: 24,3 |
0,3…0,6 0,2…0,2 |
Электрическое с помощью колориферов или водяное от внешних сетей |
От внешней сети или из встроенного бака с электроподогревом | ||||||||||||||||||||||||||
|
На базе системы “Универсал” 1129-023 |
Медпункт на 1 рабочее место; размеры 3 х9х2,9; общая площадь, м2: 15,5 |
0,1…0,8 0,03…0,07 |
Электрическая |
Централизованное от внешней сети | ||||||||||||||||||||||||||
|
На базе системы “КУБ” 31609 |
Медпункт на 2 рабочих места; размеры 3 х6,6х2,9; общая площадь, м2: 18,0 |
0,3…0,4 0.05…0,1 |
Водяное от внешней сети или электрическое |
Автономная из встроенных баков с электороподогревом | ||||||||||||||||||||||||||
|
Сборно-разборные из блок-контейнеров | ||||||||||||||||||||||||||||||
|
На базе системы “Пионер” 7005,08 |
Здравпункт; размеры здания, м: 15х9х2,9; размеры блок-контейнера, м: 3х9х2,9; общая площадь, м2: 133,0 |
2,5…4,8 1,2…1,2 |
Электрическое с помощью колориферов или водяное от внешних сетей |
Автономная из встроенных баков с электороподогревом | ||||||||||||||||||||||||||
|
5. Комплексы Сборно-разборные из блок-контейнеров | ||||||||||||||||||||||||||||||
|
На базе системы “КУБ” 31616 |
Комплекс вспомогательного назначения на 25 человек; размеры здания, м: 6,6х12х2,9; размеры блок-контейнера, м: 3х6,6х2.9; общая площадь, м2: 72,0 |
0,3…0,4 0.05…0,1 |
Водяное от внешней сети или электрическое |
Централизованное от внешней сети | ||||||||||||||||||||||||||
|
На базе системы “КУБ” 31619 |
Комплекс вспомогательного назначения на 50 человек; размеры здания, м: 12.2х15х2,9; размеры блок-контейнера, м: 3х6,6х2.9; общая площадь, м2: 90,0 |
0,3…0,4 0.05…0,1 |
Водяное от внешней сети или электрическое |
Централизованное от внешней сети | ||||||||||||||||||||||||||
|
На базе системы “Универсал” 1129-023 |
Административный корпус строительного участка; размеры здания, м: 12х12х2,9; размеры блок-контейнера, м: 3х6х2.9; общая площадь, м2: 122,0 |
0,1…0,8 0,03…0,07 |
Электрическая |
Централизованное от внешней сети | ||||||||||||||||||||||||||
|
420-14-1 |
Административное здание на 30 рабочих мест с красным уголкомна 50 мест; размеры здания, м: 30х13,5х2.9; размеры блок-контейнера, м: 3х6х2,9; общая площадь, м2: 364,2 |
0,1…0,8 0,03…0,07 |
Электрическая с помощью колориферов |
Централизованное от внешней сети | ||||||||||||||||||||||||||
|
1596-1.1 |
Административно-бытовой комплекс; размеры здания, м: 82,5х12; размеры блок-контейнера, м: 2,9х12х2,9; общая площадь, м2: 937,0 |
0,1…0,8 0,03…0,07 |
Электрическая с помощью колориферов |
Централизованное от внешней сети | ||||||||||||||||||||||||||
|
На базе системы “Энергетик” ВПК-1 |
Служебно-бытовой комплекс для строительного участка; размеры здания, м: 15х13.5х2.8; размеры блок-контейнера, м: 3х6х2.8; общая площадь, м2: 121,0 |
2,8…4,0 1…1,5 |
Водяная от внешней сети |
Централизованное от внешней сети | ||||||||||||||||||||||||||
|
На базе системы “Нева” 7203-I |
Служебно-бытовой комплекс на 240 человек (здание двухэтажное); размеры здания, м: 33.2х12х6; размеры блок-контейнера, м: 3х6х3; общая площадь, м2: 760,0 |
0,8 0,24 |
Водяная из внешней сети |
Автономная из встроенных баков с электороподогревом | ||||||||||||||||||||||||||
|
На базе системы “Нева” |
Санитарно-бытовое здание на 140 человек; размеры здания, м: 12,9х21х3,1; размер блок-контейнера, м: 6х3,х3,1; общая площадь, м2: 233,7 |
1,44 0,48 |
Водяная из внешней сети |
Автономная из встроенных баков с электороподогревом | ||||||||||||||||||||||||||
|
На базе системы “Нева” |
Санитарно-бытовое здание на 80 человек; размеры здания, м: 15х12х3,1; размер блок-контейнера, м: 6х3,х3,1; общая площадь, м2: 166,4 |
0,8 0,2 |
Водяная из внешней сети |
Автономная из встроенных баков с электороподогревом | ||||||||||||||||||||||||||
|
На базе системы “ЦУБ” 1874М |
Санитарно-бытовое здание на 17 человек; размеры здания, м: 12,9х9,6х4,2; размер блок-контейнера, м: 3,2х9,6х4,2; общая площадь, м2: 54,0 |
0.4…0,8 0,1…0,2 |
Автономная водяная |
Централизованное или автономное из встроенного бака 800 л | ||||||||||||||||||||||||||
|
На базе системы “Универсал” 1129-034 |
Санитарно-бытовой комплекс на 36 человек; размеры здания, м: 15х6х2,9; размер блок-контейнера, м: 3х6х2,9; общая площадь, м2: 77,5 |
0,1…0,8 0,03…0,07 |
Централизованная от внешней сети |
Централизованное от внешней сети | ||||||||||||||||||||||||||
|
На базе системы “Нева” 7203-III |
Санитарно-бытовой комплекс на 80 человек; размеры здания, м: 15,1х12х3; размер блок-контейнера, м: 3х6х3; общая площадь, м2: 166,0 |
0,05…0,1 0,01…0,03 |
Водяная из внешней сети |
Автономная из встроенных баков с электороподогревом | ||||||||||||||||||||||||||
|
На базе системы “Нева” 7203-II |
Санитарно-бытовой комплекс на 140 человек; размеры здания, м: 21,1х12х3; размер блок-контейнера, м: 3х6х3; общая площадь, м2: 236,0 |
0,05…0,1 0,01…0,03 |
Водяная от внешней сети |
Автономная из встроенных баков с электороподогревом | ||||||||||||||||||||||||||
|
420-14-1 |
Бытовой комплекс на 100 человек с буфетом на 12 пос. мест; размеры здания, м: 21,1х12х3; размер блок-контейнера, м: 3х6х3; общая площадь, м2: 363,6 |
0,05…0,1 0,01…0,03 |
Водяное от внешней сети или электрическое |
Централизованное от внешней сети | ||||||||||||||||||||||||||
