Дитерпеновые алкалоиды, виды живокости и аконита
3.4 Токсичные вещества
Аконит относится к наиболее ядовитым растениям, смертельная доза цельного корня для человека составляет 2—4 г любой части растения, токсическая доза аконитина — около 3 мг.
Все части растения содержат сложные дитерпеновые алкалоиды, наиболее концентрированные в семенах и особенно в корне: аконитин, бензилаконин, аконин, мезаконитин, гипаконитин, неопеллин, напеллин и неолин. Их содержание варьируется в зависимости от жизненного цикла растения и местности произрастания, и составляет от 0,5 до 1,5%.
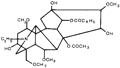
Основное ядовитое начало – аконитин – нордитерпеновый алкалоид (C34 H47 NO11), характерный также и для рода Delphinium, содержится в корне в количестве не более 0.2%, но именно он определяет токсичность растения.
![]() |
Аконитин, наиболее токсичный алкалоид аконита.
3.5 Применение в аллопатии
Из-за большой токсичности аконит сейчас не применяется в западной медицине, но в Китае используется достаточно широко при различных заболеваниях.
Аконит применяли Диоскорид (вероятно, Aconitum lycotonum), Гален, Авиценна, Парацельс.
Первым научным исследованием аконита считают работу А. Штерка (1762 г.), который испытывал его действие на себе и учениках-добровольцах. Он пришел к выводу, что аконит должен быть полезен при лихорадке, ревматизме и сифилисе.
Для приготовления препарата по С. Ганеману использовался свежий сок целого растения во время начала цветения, смешанный с равными частями винного спирта. Аллопатические медикаменты готовились иначе: из высушенного корня аконита готовили тинктуру и линимент. Применяли также тинктуру аконита с гамамелисом или линимент с белладонной.
Учитывая свойство аппликаций аконита вызывать онемение и парестезии, их применяли как местный анестетик при невралгиях, не поддающихся лечению другими средствами, при ишиасе и люмбаго, плевродинии, при ушибах (иногда абсорбция даже через неповрежденную кожу вызывала симптомы интоксикации). Сиропы с аконитом использовали как противокашлевое средство.
В литературе упоминается о применении аконита в качестве жаропонижающего и потогонного средства, мочегонного, кардиального седативного средства. Настойку аконита применяли внутрь при лихорадке с тахикардией, остром тонзиллите, ларингите, в начальных стадиях пневмонии и рожистого воспаления.
Согласно экспериментальным исследованиям на животных, акониты обладают антипролиферативным и противовоспалительным действием, угнетают реакции гиперчувствительности замедленного типа, повышают поглотительную способность мононуклеаров, стимулируют продукцию антител.
3.6 Применение в гомеопатии
При суммации тринадцати случаев у детей с нарушениями сна, проявляющихся ночными кошмарами с чувством страха и пробуждениями с 12 до 2 ч. ночи, отмечено, что Aconitum 30 прекрасно снимет эти состояния при одно-двухкратном назначении. В дальнейшем подобные состояния не отмечались у детей в течение полутора – двух лет.
С. Ганеманн применял Аконит 30 при других состояниях, когда требовалась неотложная помощь: ложный круп, различные воспалительные процессы глотки и гортани. При этом во всех случаях вначале появлялась жажда и учащенный пульс, а также боязливое беспокойство, ощущение “вне себя”, агонизирующие движения. Кроме того, это лекарство необходимо после ощущения сильного страха или озлобления у женщин в течение менструации, при этом аконит способен остановить маточное кровотечение.
Другими отчетливыми симптомами, которые могут подвести врача к назначению аконита, могут быть следующие: сжимающая боль в груди; давящая, стягивающая боль за грудиной; колющая, проникающая, мучительная боль в груди между IV-XI ребрами слева. Все это, с точки зрения С. Ганеманна, может служить основанием для назначения аконита при стенокардии.
Согласно наблюдениям, аконит может быть применен при различных болезненных состояниях, сопровождающихся тахикардией, включая приступы пароксизмальной тахикардии, предсердных экстрасистолиях, бигеминии, тригеминии. Во всех случаях у больных наблюдалось чувство страха, в т. ч. страха смерти, страха потерять сознание (особенно у тех лиц, у которых ранее были обмороки). Во многих случаях аконит почти мгновенно устранял лихорадку, сопровождавшуюся жаждой и тахикардией у больных в тяжелом состоянии, когда аллопатические лекарственные препараты не оказывали эффекта.
По данным Вавиловой Н.М., Аконит 3х может применяется для анестезии глазного яблока при извлечении инородного тела из глаза.
3.7 Отравления аконитом
В Европе отравления аконитом случаются редко, чаще они бывают случайными или суицидальными. Аконит выращивают как декоративное растение, и изредка его корень по ошибке употребляли в пищу (к примеру, его можно спутать с корнем топинамбура или хрена обыкновенного).
Аконит гораздо более распространен в Китае, где встречается множество его видов, которым китайская медицина уделяет большое внимание. Согласно Китайской Фармакопее, употребляют только корни аконита, подвергнутые длительному кипячению, снижающему токсические свойства растения. В странах Востока интоксикации аконитом чаще всего возникают при неправильном применении традиционных лекарств или при их неправильном приготовлении, но нередки и криминальные отравления.
3.8 Симптомы отравления
Отравление возникает обычно при употреблении аконита или препаратов из него внутрь и развивается очень быстро, часто приводя к летальному исходу. Отсутствие симптомов отравления в течение двух часов после приема внутрь незначительной части растения или его настойки прогностически очень благоприятно. При отравлении большей дозой аконита сначала появляются ощущения жжения, онемения и ползанья мурашек во рту, в языке, затем в горле, в лице и конечностях. Одновременно возникают слюнотечение и мидриаз, нечеткость зрения, иногда желтые ореолы вокруг объектов. Затем развиваются тревога, головокружение, мышечная слабость и озноб. На поздних стадиях присоединяются рвота, понос, нарушения сердечного ритма, гипотензия, гипотермия, атаксия, нечленораздельная речь, острые вялые параличи, судороги, паралич дыхания. Возможна летальная брадикардия с различными степенями атриовентрикулярной блокады, также как и желудочковая тахикардия и фибрилляция.
3.9 Принципы лечения отравления аконитом
Специфического противоядия не существует. В гомеопатической литературе встречались упоминания о том, что как антидот использовался уксус в больших дозах.
Лечение включает: промывание желудка (учитывать, что рвота может вызвать вагусный рефлекс), большие дозы активированного угля и слабительных.

