Проникающая радиация Воздействие на людей, здания и техникуРефераты >> Военная кафедра >> Проникающая радиация Воздействие на людей, здания и технику
Наиболее сильное заражение местности происходит при наземных ядерных взрывах, когда площади заражения с опасными уровнями радиации во много раз превышают размеры зон поражения ударной волной, световым излучением и проникающей радиацией. Сами радиоактивные вещества и испускаемые ими ионизирующие излучения не имеют цвета, запаха, а скорость их распада не может быть изменена какими-либо физическими или химическими методами.
Зараженную местность по пути движения облака, где выпадают радиоактивные частицы диаметром более 30— 50 мкм, принято называть ближним следом заражения. На больших расстояниях — дальний след — небольшое заражение местности не влияет на боеспособность личного состава.
Источниками радиоактивного излучения при ядерном взрыве являются: продукты деления (осколки деления) ядерных взрывчатых веществ (Pu-239, U-235 и U-238); радиоактивные изотопы (радионуклиды), образующиеся в грунте и других материалах под воздействием нейтронов — наведенная активность; неразделившаяся часть ядерного заряда.
Рис 1. Пример радиоактивных превращений двух осколков деления ядра урана-235
Продукты деления, выпадающие из облака взрыва, представляют собой первоначально смесь около 80 изотопов 35 химических элементов средней части периодической системы Д. И. Менделеева: от цинка (№ 30) до гадолиния (№64). Почти все образующиеся ядра изотопов перегружены нейтронами, являются нестабильными и претерпевают b-распад с испусканием g-квантов. Первичные ядра осколков деления в последующем испытывают в среднем три-четыре распада и в итоге превращаются в стабильные изотопы. Таким образом, каждому первоначально образовавшемуся ядру (осколку) соответствует своя цепочка радиоактивных превращений. Пример последовательных превращений, по двум цепочкам, когда их «родоначальниками» являются изотопы циркония 9740Zr и теллура 13752Те, приведен на рис. 1, где показано, что каждое радиоактивное ядро, образовавшееся при делении, распадается с испусканием b-частиц и g-квантов до тех пор, пока не образуется стабильный изотоп. Всего на разных этапах радиоактивного распада возникает около 300 различных радионуклидов.
Суммарная активность смеси продуктов деления Аb, Ки, через 1 мин после взрыва может быть определена по формуле
где qдел — тротиловый эквивалент взрыва по делению, т.
В системе СИ активность измеряется в беккерелях (Бк), 1 Бк равен одному распаду в секунду (1 Ки = 3,7*1010Бк).
Изотопный состав смеси осколков деления зависит от вида ЯВВ, использованных в ядерном заряде, и от времени, прошедшего после взрыва.
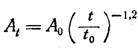
Изменение активности во времени, как и уровней радиации на местности или плотности заражения, определяют по формуле
где ао и At — активность осколков деления ко времени t0 и t после взрыва.
По мере увеличения времени, прошедшего после взрыва, величина активности осколков деления быстро падает.
Образование наведенной активности в грунте в пределах зоны распространения нейтронов имеет практическое значение при воздушном ядерном взрыве. В грунте в основном образуются радиоактивные Al-28, Na-24, количество которых пропорционально выходу нейтронов при взрыве данного ядерного заряда. Максимальное количество нейтронов на единицу мощности заряда образуется при взрыве нейтронного боеприпаса.
Активность неразделившейся части ядерного заряда следует учитывать только в случае аварийных взрывов ядерных боеприпасов или при их ликвидации взрывом обычного ВВ.
При наземном ядерном взрыве светящаяся область касается поверхности земли и образуется воронка выброса. Значительное количество грунта, попавшего в светящуюся область, плавится, испаряется и перемешивается с радиоактивными веществами. По мере остывания светящейся области и ее подъема пары конденсируются, образуя радиоактивные частицы различной величины. Сильный прогрев грунта и приземного слоя воздуха способствует образованию в районе взрыва восходящих потоков воздуха, которые формируют пылевой столб («ножку» облака). Когда плотность воздуха в облаке взрыва станет равной
Рис. 2. Схема наземного ядерного взрыва:
Л — активность; Н — высота подъема верхней кромки облака; Дв— вертикальный размер облака; Дг - горизонтальный диаметр облака: q — мощность взрыва; V — скорость среднего ветра; R— расстояние от центра взрыва
плотности окружающего воздуха, подъем облака прекращается. При этом в среднем за 7—10 мин облако достигает максимальной высоты подъема H, которую иногда называют высотой стабилизации облака (рис. 2, табл. 3).
Таблица 3
Зависимость высоты подъема и размеров радиоактивного облака от мощности ядерных взрывов
|
Мощность взрыва. тыс. т |
Высота подъема облака, км |
Размеры облака, км | |
|
горизонтальный диаметр |
высота | ||
|
1 |
3,5 |
2,0 |
1,3 |
|
5 |
5,0 |
3,0 |
1.6 |
|
10 |
7,0 |
4,0 |
2,0 |
|
30 |
9,0 |
5,0 |
3,0 |
|
50 |
10,5 |
6,0 |
3,5 |
|
100 |
12,2 |
10,0 |
4,5 |
|
300 |
15,0 |
14,0 |
6,0 |
|
500 |
17,0 |
18,0 |
7,0 |
|
1000 |
19,0 |
22,0 |
8,5 |
|
5000 |
24,0 |
34,0 |
12,0 |
|
10000 |
25,0 |
43,0 |
15,0 |
