Методы решения уравнений в странах древнего мираРефераты >> Математика >> Методы решения уравнений в странах древнего мира
. Как составлял и решал Диофант квадратные уравнения ,
В «Арифметике» Диофанта нет систематического изложения алгебры, однако в ней содержится систематизированный ряд задач, сопровождаемых объяснениями и решаемых при помощи составления уравнений разных степеней.
При составлении уравнений Диофант для упрощения решения умело выбирает неизвестные.
Вот, к примеру, одна из его задач.
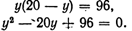
«Найти два числа, зная, что их сумма равна 20, а произведение — 96».
Диофант рассуждает следующим образом: из условия задачи вытекает, что искомые числа не равны, так как если бы они были равны, то их произведение равнялось бы не 96, а 100. Таким образом, одно из них будет больше половины их суммы, т. е. 10 + х, другое же меньше, т. е. 10 — х. Разность между ними 2х. Отсюда уравнение
|
|
или же |
|
|
Отсюда х = 2. Одно из искомых чисел равно 12, другое 8. Решение х = —2 для Диофанта не существует, так как греческая математика знала только положительные числа.
|
Ясно, что, выбирая в качестве неизвестного полу разность искомых чисел, Диофант упрощает решение; ему удается свести задачу к решению неполного квадратного уравнения (1).
Квадратные уравнения в Индии.
Задачи на уравнения встречаются уже в астрономическом трактате «Ариабхаттаим», составленном в 449 г. индийским математиком и астрономом Арибхаттой. Но это уже раннее средневековье.
В Алгебраическом трактате ал-Хорезми даётся классификация линейных и квадратных уравнений.
Индий учёные знали решения неопределённых уравнений в целых числах (в том числе и в отрицательных, чего сам Диофант избегал).
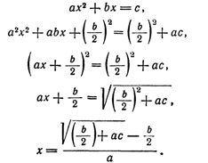
Формула решений квадратного уравнения.
Греческий математик Герон (I или II век нашего летоисчисления) вывел формулу для решения квадратного равнения ax2 + bx = c умножением всех членов на а и
прибавлением к обеим половинам уравнения
:
В индии пришли к более простому способу вывода, который встречается в школьных учебниках: они умножали на 4a и к обеим половинам по b2. Это даёт:
Индийские математики часто давали задачи в стихах.
Задача о лотосе.
Над озером тихим, с полмеры над водой,
Был виден лотоса цвет.
Он рос одиноко, и ветер волной
Нагнул его в сторону – и уж нет
Цветка над водой.
Нашёл его глаз рыбака
В двух мерах от места, где рос.
Сколько озера здесь вода глубока?
Тебе предложу я вопрос.
Ответ:
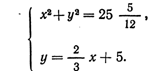
Из истории решения системы уравнений, содержащей одно уравнение второй степени и одно линейное
В древневавилонских текстах, написанных в III—II тысячелетиях до н. э., содержится немало задач, решаемых с помощью составления систем уравнений, в которые входят и уравнения второй степени. Вот одна из них.
. «Площади двух своих квадратов я сложил:
.Сторона второго квадрата равна
стороны первого и еще 5».
Соответствующая система уравнений в современной записи имеет вид:
Для решения системы (1) вавилонский автор возводит во втором уравнении у в квадрат и согласно формуле квадрата суммы, которая ему, видимо, была известна, получает:
Подставляя это значение у в первое из системы уравнений (1), автор приходит к квадратному уравнению:
Решая это уравнение по правилу, применяемому нами в настоящее время, автор находит х, после чего определяет у. Итак, хотя вавилоняне и не имели алгебраической символики, они решали задачи алгебраическим методом.
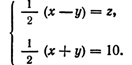
Диофант, который не имел обозначений для многих неизвестных, прилагал немало усилий для выбора неизвестного таким образом, чтобы свести решение системы к решению одного уравнения. Вот один пример из его «Арифметики».
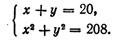
Задача 21. «Найти два числа, зная, что их сумма равна 20, а сумма их квадратов — 208».
Эту задачу мы решили бы путем составления системы уравнений:
Диофант же, выбирая в качестве неизвестного половину разности искомых чисел, получает (в современных обозначениях):
Складывая эти уравнения, а затем вычитая одно из другого (все это Диофант производит устно), получаем
x = 2 + 10; у = 10 —2.
Далее,
х2 + у2 = (г + lO)2 + (10 — г)2 == 2z2 + 200.
Таким образом,
2z2 + 200 = 208,
откуда
z = 2; х = 2 + 10 = 12; у = 10 — 2 = 8.
Диофантовы уравнения.
Задача Диофанта №80 (Из II книги его «Арифметики»)
Найти 2 таких числа, чтобы сумма квадрата каждого из них с другим искомым числом дала полный квадрат,
Решение Диофанта
Пусть первое число (I) будет s. Чтобы квадрат его •при прибавлении второго числа дал квадрат, второе число должно быть 2s + 1, так как в таком случае выполняется требование задачи: квадрат первого числа. сложенный со вторым, дает
s2 + 2s + 1, то есть полный квадрат (s + 1)2.
Квадрат второго числа, сложенный с первым, должен также дать квадрат, то есть число (2s + I)2 + s, равное
4s2 + 5s + 1 == t2
Положим, что t = 2s — 2; тогда t2 = 4s2 — 8s + 4. Это выражение должно равняться 4s2 + 5s + 1. Итак, должно быть:
4s2 — 8s + 4 == 4s2 + 5s + l откуда s=
Значит, задаче удовлетворяют числа:
.
Проверка;
