Вычисление интеграла методом Ньютона-Котеса (теория и программа на Паскале)Рефераты >> Кибернетика >> Вычисление интеграла методом Ньютона-Котеса (теория и программа на Паскале)
1. Введение . 3
2. Теоретическая часть .4
3. Алгоритм работы 8
4. Код программы .17
· Модуль K_graph 17
· Модуль Graphic .34
· Модуль K_unit .38
· Основная программа 40
5. Тестовые испытания .42
6. Полезные советы по работе с программой .42
7. Окна ввода и вывода программы .
8. Вывод 43
9. Список литературы .44
Математика - одна из самых древних наук. Труды многих ученых вошли в мировой фонд и стали основой современных алгебры и геометрии. В конце XVII в., когда развитие науки шло быстрыми темпами, появились понятия дифференцирование, а вслед за ним и интегрирование. Многие правила нахождения неопределенного интеграла в то время не были известны, поэтому ученые пытались найти другие, обходные пути поиска значений. Первым методом явился метод Ньютона – поиск интеграла через график функции, т.е. нахождение площади под графиком, методом прямоугольников, в последствии усовершенствованный в метод трапеций. Позже был придуман параболический метод или метод Симпсона. Однако часть ученых терзал вопрос: А можно ли объединить все эти методы в один??
Ответ на него был дан одновременно двумя математиками Ньютоном и Котесом. Они вывели общую формулу, названную в их честь. Однако их метод был частично забыт. В этой работе будут изложены основные положения теории, рассмотрены различные примеры, приведены таблицы, полученные при различных погрешностях, и конечно описана работа и код программы, рассчитывающей интеграл методом Ньютона-Котеса.
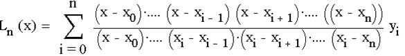
Пусть некоторая функция f(x) задана в уздах интерполяции:
(i=1,2,3…,n) на отрезке [а,b] таблицей значений:
|
X0=a |
X1 |
X2 | … |
XN=b |
| Y0=f(x0) | Y1=f(x1) | Y2=f(x2) | … | YN=f(xN) |
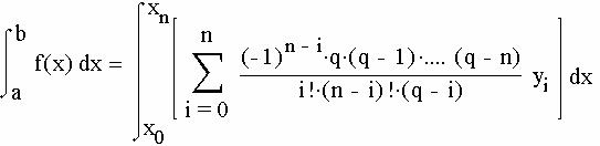
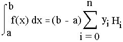
Требуется найти значение интеграла
.
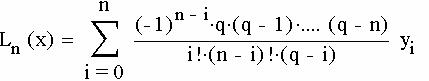
Для начала составим интерполяционный многочлен Лагранджа:
Для равноотстоящих узлов интерполяционный многочлен имеет вид:
где q=(x-x0)/h – шаг интерполяции, заменим подынтегральную функцию f(x) интерполяционным многочленом Лагранжа:
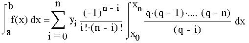
Поменяем знак суммирования и интеграл и вынесем за знак интеграла постоянные элементы:
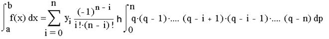
Так как dp=dx/h, то, заменив пределы интегрирования, имеем:
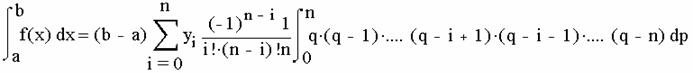
Для равноотстоящих узлов интерполяции на отрезке [a,b] величина шаг определяется как h=(a-b)/n. Представив это выражение для h в формулу (4) и вынося (b-a) за знак суммы, получим:
Положим, что
где i=0,1,2…,n; Числа Hi называют коэффициентами Ньютона-Котеса. Эти коэффиценты не зависят от вида f(x), а являются функцией только по n. Поэтому их можно вычислить заранее. Окончательная формула выглядит так:
Теперь рассмотрим несколько примеров.
Пример 1.
Вычислить с помощью метода Ньютона-Котаса:
, при n=7.
Вычисление.
1) Определим шаг: h=(7-0)/7=1.
2)Найдем значения y:
|
x0=0 |
y0=1 |
|
x1=1 |
y1=0.5 |
|
x2=2 |
y2=0.2 |
|
x3=3 |
y3=0.1 |
|
x4=4 |
y4=0.0588 |
|
x5=5 |
y5=0.0384 |
|
x6=6 |
y6=0.0270 |
|
x7=7 |
y7=0.02 |
3) Находим коэффициенты Ньютона-Котеса:
H1=H7=0.0435, H1=H6=0.2040, H2=H5=0.0760 ,H3=H4=0.1730
Подставим значения в формулу и получим:
При подсчете с помощью формулы Ньютона-Лейбница получим:
Пример 2.
Вычислить при помощи метода Ньютона-Котеса
, взяв n=5;
Вычисление:
1) Определим шаг h=(8-4)/5=0.8
2) Найдем значения y:
|
x0=0 |
y0=-2.61 |
|
x1=4.8 |
y1=0.42 |
|
x2=5.6 |
y2=4.34 |
|
x3=6.4 |
y3=6.35 |
|
x4=7.2 |
y4=4.38 |
|
x5=8 |
y5=-0.16 |
3) Находим коэффициенты Ньютона –Котеса:
H0=H5=0.065972 ;H1=H4=0.260417 ;H2=H3=0.173611 ;
4)Подставим значения в формулу и получим:
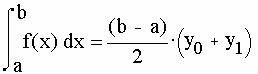
Рассмотрим частные случаи формулы Ньйтона-Котеса.
Пусть n=1 тогда
H0=H1=0.5 и конечная формула примет вид:
Тем самым в качестве частного случая нашей формулы мы получили формулу трапеций.
