Феномен програмированного обученияРефераты >> Педагогика >> Феномен програмированного обучения
Разветвленная программа
Не все принципы программирования, предложенные Скиннером, пользуются повсеместным признанием среди научных работников, специализирующихся в области программированного обучения.
Критике был подвергнут, прежде всего, принцип «безошибочного прочтения текста». Сидней JL Пресси из Огайо, а также Норман А. Кроудер из Чикаго, например, считают, что не следует исключать возможность ошибок, допускаемых учащимися в процессе учения, ибо эти ошибки можно использовать для рационализации этого процесса, придав им статус контроля его качества и превратив их в средство, позволяющее обнаружить те вопросы, которые учащийся не понял или которыми он еще не овладел.
Возражения и критические замечания выдвигаются и в отношении скиннеровского требования атомизации учебного материала, его деления на «микроинформации». Ученик, которого обрекают на продвижение к цели исключительно мелкими шажками и вследствие этого лишают возможности достигнуть цели скачком, быстро утомляется и впадает в скуку, что неблагоприятно сказывается на результатах учения. Принцип малых шагов, по мнению критиков, имеет еще ту плохую сторону, что он не позволяет индивидуализировать содержание обучения, приспосабливая к возможности отдельных учащихся лишь темп этого процесса.
Острой критике был подвергнут, наконец, постулат скиннеровского линейного программирования о конструировании ответа учащимися. Авторы этих критических замечаний, и прежде всего Н. А. Кроудер, считают, что по сравнению с заполнением имеющихся в тексте пробелов более эффективно распознание ответа, его выбор. Учащийся, выбравший правильный ответ среди нескольких неверных или неполных, затрачивает, по мнению Кроудера, больше интеллектуальных усилий и более самостоятелен в своей работе, чем тот, кто «учится через письмо», лишь подбирая ответы, «подсказанные» ему автором программы.
Эти и подобные критические замечания, высказанные в отношении концепции Скиннера, привели к возникновению так называемого разветвленного программирования. Этот вид программирования — по крайней мере по замыслу его автора Н. А. Кроудера — должен был освободиться от недостатков, приписываемых линейному программированию Скиннера.
Разветвленное программирование непосредственно выводится из тестов знаний, а точнее — из тех вариантов таких тестов, которые опираются на тесты выбора. Ему присуще много черт, общих с сократическим методом наведения учащихся на правильные ответы после предварительного исключения ложных или неполных. Основу разветвленного программирования образуют следующие теоретические положения:
• Учебный материал следует делить на части (порции, шаги), размеры которых соответствуют объему минимальных подтем традиционных текстов, ибо ученик должен иметь возможность осознать цель, которой он должен достигнуть в ходе учения, а это может обеспечить только обширный текст, не разбитый на искусственно отделенные друг от друга «клочки информации».
• После каждой дозы информации должен следовать вопрос, ставящий учащегося перед необходимостью самостоятельного выбора правильного ответа среди нескольких ошибочных или неполных. При этом вопросы, о которых идет речь, должны обеспечить реализацию следующих дидактических функций:
— служить проверке того, насколько хорошо учащийся понял и овладел материалом, помещенным в данной рамке программы;
— отослать к соответствующим корректировочным рамкам в случае неверного указания правильного ответа, помещенного в тексте;
— обеспечить учащимся возможность закрепления важнейших знаний путем выполнения соответствующих упражнений;
— заставить учащегося активно работать с текстом и тем самым исключить механическое запоминание, основанное на многократном бессмысленном повторении одного и того же содержания;
— сформировать у учащегося ценностное отношение к учебе, развивая его интерес к изучаемому предмету, и приучить его к контролю и оценке собственных результатов.
• Непосредственно после указания ответа, избранного учащимся, необходима проверка правильности его выбора. В связи с этим программа должна информировать учащегося о результате каждого выбора, а в случае ошибки отсылать его к исходному пункту с целью повторной попытки выбора правильного ответа или к соответствующей корректирующей рамке, объясняющей причины ошибки.
• Путь через разветвленную программу должен быть дифференцирован в отношении проявляемых учащимися способностей. Лучшие ученики, продвинутые в учебе, должны пользоваться более короткой дорогой, чем их сравнительно слабые товарищи, которых нужно отсылать к корректирующим рамкам для восполнения пробелов в их знаниях, а также для совершенствования их недостаточно отработанных умений.
• Уровень сложности охваченного программой учебного материала должен возрастать, причем принцип «от простого к сложному» действует при подготовке как вопросов, так и связанных с ними ответов.
• Содержание корректирующих рамок следует определять на основе тщательного анализа ошибок, допускаемых в области отдельных учебных предметов учениками определенных классов.
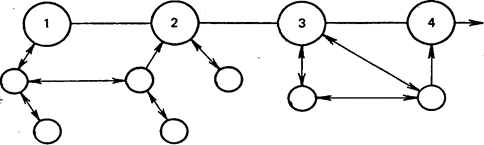
• Суждения, понятия, законы, принципы и т. п., входящие в содержание разветвленной программы, должны быть представлены в разных контекстах содержательно между собой связанных рамками текста, причем в корректирующих рамках следует приводить примеры, целью которых является всестороннее выявление содержания каждого обобщения. Структура разветвленной программы показана на рис. 2. Из представленной схемы следует, что самым коротким путем продвигаются учащиеся, которые правильно отвеча--ют на вопросы, содержащиеся в основных рамках (1, 2, 3 и т.д.). В свою очередь, остальные учащиеся отсылаются к корректирующим рамкам, где они получают дополнительную информацию, позволяющую им устранить ошибки, допущенные в ходе учения по программе. Многочисленные разветвления, показанные на схеме, обосновывают название программы — разветвленная.
Рис. 2. Схема разветвленной программы
• ЗБ • Закрепляющий блок
Кроудеровская программа разветвленная
1. По мнению Н. А. Кроудера, автора разветвленной программы, успех учения зависит не столько от «безошибочного марша прохождения текста «мелкими шагами», сколько от глубокого и всестороннего анализа содержания, которым должен сознательно овладеть учащийся. Такой анализ возможен тогда, когда учащийся:
1) имеет дело с большими, чем в линейной программе, дозами информации (шагами программы);
2) выбирает правильный ответ на включенные в программу вопросы среди нескольких неполных или даже ошибочных ответов;
3) и случае выбора (узнавания) правильного ответа переходит к следующему шагу программы или возвращается к исходному пункту и заново изучает содержание данной рамки, если на заданные в ней вопросы он отвечает неверно.
I. Шаги в разветвленной программе: а) по размеру такие же, как и в линейной (см. рамку 2); б) более мелкие, чем в линейной программе (рамка 3); в) более крупные, чем в линейной программе (рамка 4).
