Феномен програмированного обученияРефераты >> Педагогика >> Феномен програмированного обучения
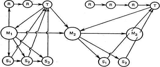
Рис. 3. Схема смешанной программы. М— информация (знания и основные умения); S-корректирующая информация, связанная с содержанием основной информации- R — коррек- тирующая информация, не связанная непосредственно с основной информацией; Т — вопросы, касающиеся содержания основной информации.
• ЗБ • Закрепляющий блок
|
Смешанная программа (шеффилдский вариант) 1. Шеффилдский вариант смешанной программы представляет собой комбинацию принципов, лежащих в основе . и . программ 2. 2. Учащийся, который изучает шеффилдский текст, формулирует свои ответы как путем их .,., так и путем выбора (распознания) |
линейной; разветвленной построения |
|
3, Величина шагов в шеффилдской программе (различна, одинакова) |
различна |
|
4. В смешанной программе ( , вариант) индивидуализации подлежит (темп учения, содержание обучения, темп и содержание обучения) |
шеффилдский темп и содержание обучения |
5. Настоящая программа представляет пример линейной (переходите к рамке 6), разветвленной (рамка 7), смешанной программы в шеффилдском варианте (рамка 8).
6. Ваш ответ: «Изучаю линейную программу». Но ведь вы даете ответы не только путем их подбора, но и с помощью их распознавания. Вернитесь к рамке 5, заново прочтите ее и найдите правильный ответ.
7. Ваш ответ: «Изучаю разветвленную программу». Но разве можно считать первую рамку типичной для разветвленной программы?
Вернитесь к рамке 5 и найдите правильный ответ.
8, Ответ: «Изучаю смешанную программу в шеффилдском варчинтг». Очень хорошо. Переходите к рамке 9.
|
9. Линейную, . и . (шеффилдский вариант) программы критикуют за то, что они не учат учащихся разрешать проблемы. Конец шеффилдской программы |
разветвленную; смешанную |
Блочный метод
Основу блочного метода смешанного программирования, называемого также варшавским, составляют следующие положения:
• Классическое программированное обучение, образованное концепциями Скиннера и Кроудера, может использоваться в образовании исключительно как дополнительный метод, один из многих, но не единственный. Оно особенно эффективно для ознакомления учащихся с пассивными знаниями, овладение которыми требует от них главным образом запоминания. Кроме того, им можно пользоваться при закреплении знаний, а также при контроле и оценке степени овладения ими.
. • Тексты, программируемые с помощью линейного, разветвленного и шеффилдского методов, могут оказаться полезными для борьбы с отставанием учащихся в учебе, для устранения пробелов, возникших в изучаемом ими материале.
• Классические программы, построенные главным образом согласно бихевиористской схеме С — Р (стимул _ реакция), не позволяют развивать самостоятельное, критическое мышление учащихся даже в области тех дисциплин, которые, как, например, математика и грамматика, особенно пригодны для программирования.
Справедливость перечисленных выше положений была проверена в ходе эмпирических исследований, результаты которых частично опубликованы.
Из третьего положения, содержание которого касается проблемы, имеющей
Рис. 4. Схема блочного программирования
фундаментальное значение для школы, следует вывод, что этим текстам следует придать такую форму, чтобы, пользуясь ими, можно было в максимальной мере формировать и развивать самостоятельное мышление учащихся. В связи с этим нужно предпринять попытку замены классических программ программой более гибкой и всесторонней, учитывающей разнообразие действий, определяющих процесс учения, программой, которая бы обеспечила учащимся выполнение разнообразных интеллектуальных операций и оперативное использование приобретаемых знаний при решении определенных задач.
Представляется, что этим требованиям может удовлетворить программа, структура которой соответствует схеме, приведенной на рис. 4
Основным компонентом этой программы является так называемый проблемный блок (П), который требует от учащегося интенсивной интеллектуальной работы, например решения задачи с неполными данными, формулировки или проверки гипотезы, планирования эксперимента и т. п. В процессе такой работы учащийся должен выполнять различные умственные действия: обобщение, доказательство, объяснение (перевод) и проверку, — постоянно обогащая объем имеющихся знаний. Остальные компоненты блочной программы представлены блоками: информационным (И), тестово-информационным (ТИ), тестово-проблемным (ТП), коррекционно-информативным (КИ), коррекционно-проблемным (КП).
Согласно названию, блок И содержит определенный автором программы объем информации, причем эта информация может быть представлена как в программированной форме (линейной или разветвленной), так и в традиционной. Важно, чтобы информация была тщательно упорядочена в соответствии с определенным критерием, например с критерием причинно-следственных связей, и представлена в четко определенной системе понятий (Сi). Для этой цели пригоден матричный анализ.
Задача блока ТИ состоит в том, чтобы проверить степень овладения учащимся всеми областями понятий, которые используются в блоке И, и направить его в соответствии с полученными результатами к блоку П или к блоку КИ. К блоку /7 учащийся переходит только тогда, когда хорошо овладеет материалом, помещенным в блоке И. Если он не овладел тем или другим понятием из С1, С2, С3, С4, ., Сn, то ему следует перейти к соответ- ствующему корректирующему блоку, в рамках которого он пополнит свои знания в областях, которые этого требуют и которые были выявлены в результате теста в блоке ТИ.
Например, если учащийся не овладел только одним из понятий, содержащихся в блоке И, например С2, то в блоке КИ он будет иметь дело с корректировочным вариантом, относящимся исключительно к С2. В случае же недостаточного овладения понятиями С1 и С3, представленными в блоке И, он будет направлен через блок ТИ к корректирующим вариантам С1 и С3) в блоке К.И и т. п.
Таким образом, к блоку /7 одни учащиеся приходят быстрее, а другие — медленнее, одни идут к нему прямым путем, другие вынуждены сойти с прямой дороги на боковые пути корректирующих ветвей. Структура этих разветвлений должна быть отработана таким образом, чтобы можно было исключить возможность очередной ошибки учащегося. Другими словами, учащийся, который покидает блок КИ, должен хорошо овладеть содержанием области (или областей) понятий, которым он не овладел в блоке И. Практика показывает, что путем тщательной эмпирической проверки программы можно достигнуть этой цели в отношении большинства учащихся. Тот же, кто не сумел справиться с материалом, должен обратиться за помощью к преподавателю.
