Сканирующая зондовая микроскопия
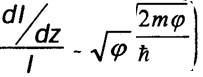
В приближении простейшей одномерной модели туннелирования электрона через прямоугольный потенциальный барьер высотой Fi, зависимость туннельного тока I от ширины барьера z выражается экспоненциальным множителем
Дифференцированием этого множителя получаем;
и,следовательно
т.е. производная туннельного тока по ширине туннельного зазора, нормированная на сам туннельный ток, дает информацию о локальной высоте потенциального барьера. Так как среднее значение туннельного тока в процессе сканирования поддерживается постоянным, и амплитуда вибрации пьезотрубки не меняется, то полученная в результате сканирования картина распределения амплитуды колебаний туннельного тока как раз и содержит информацию о распределении величины Fi , и, следовательно, о химических свойствах поверхности. Реальная ситуация не столь проста, и амплитуда колебаний туннельного тока зависит еще от геометрии поверхности, от состава адсорбатов которые искажают форму потенциального барьера и кроме того, при измерениях на воздухе из-за наличия адсорбатов между иглой и поверхностью всегда существует заметная сила отталкивания, т.к. игла должна "продавить" слой адсорбата, прежде чем возникает заметный туннельный ток.
Это приводит к зависимости результатов измерений от локальной жесткости образца Так, в местах, где жесткость образца ниже, вибрация приводит в большей степени к деформации самого образца, а не к деформации адсорбата и изменению туннельного зазора. Амплитуда модуляции туннельного тока уменьшается, создавая впечатление относительно пониженной работы выхода.Этот эффект следует учитывать при интерпретации результатов.
Режим спектроскопии
В режиме спектроскопии модулируется туннельное напряжение и между образцом и иглой, и регистрируется амплитуда отклика туннельного тока на эту модуляцию. При этом постоянная составляющая туннельного напряжения остается неизменной, и обратная связь поддерживает постоянное среднее значение туннельного тока. Таким образом, результат измерения представляет собой производную dI/dU в заданной точке вольт-амперной характеристики. Поскольку форма вольт-амперной характеристики опрелеляется в первую очередь энергетическим спектром объемных и поверхностных электронных состояний иглы и образца, этот режим и получил название режима спектроскопии.
В режиме спектроскопии, как и в режиме измерения локальной высоты барьера, важно, чтобы обратная связь успевала с высокий точностью поддерживать постоянным среднее значение I (если усилитель работает не в логарифмическом режиме), поскольку на многих образцж изменение среднего значения I из-за неровностей рельефа может привести к гораздо большим отклонениям амплитуды колебаний туннельного тока, чем изменение свойств поверхности.
2.2.3.2 АСМ-методы
К числу вибрационных методов АСМ относятся бесконтактный, полуконтактный режим и режим локальной жесткости.
Бесконтактным режим
Бесконтактный режим обеспечивает измерение Ван-дер-Ваальсовых электронных, магнитных сил вблизи поверхности, причем сила взаимодействия может быть очень малой (порядка 10-12Н), что позволяет исследовать очень чувствительные или слабо связанные с поверхностью объекты, не разрушая, и не сдвигая их.
Вкладыш - держатель кантилевера (Рис.9) содержит пьезокерамическую пластинку, вибрации которой передаются кантилеверу и возбуждают его колебания на требуемой частоте, которая во всех разновидностях этого метода выбирается в пределах одного из резонансных пиков на амплитудно-частотной характеристике (АЧХ).
![]() |
Рис. 9
Возбуждающий сигнал формируется цифровым синтезатором, содержащим высокостабильный кварцевый генератор, что позволяет поддерживать частоту сигнала с относительной точностью не хуже 10-5-10-6. Переменная составляющая сигнала с четырехсекционного фотодиода, обусловленная колебаниями кантилевера, усиливается и попадает на вход синхронного детектора, который можно формировать:
- сигнал, пропорциональный амплитуде основной частоты или одной из гармоник.
- сигнал сдвига фазы (колебаний кантилевера относительно возбуждающего сигнала.
- либо сигнал произведения амплитуды на зт или соб сдвига фазы. Любой из перечисленных сигналов может быть включен в петлю обратной связи.
Вблизи поверхности образца вибрирующий с малой амплитудой кантилевер попадает в неоднородное силовое поле. Наличие градиента силы приводит к частотному сдвигу резонансного пика. Поэтому в случае возбуждения сигналом фиксированной частоты амплитуда и фаза колебаний кантилевера в неоднородном поле меняется.
Если обратная связь в процессе сканирования меняет положение зонда по нормали к образцу поддерживая амплитуду, либо фазу колебаний кантилевера постоянной (режим топографии),то результатом записи сигнала на выходе ОС в процессе сканирования является поверхность постоянного градиента силы.
Можно регистрировать изменения амплитуды либо фазы колебаний в процессе сканирования, не меняя расстояние между зондом и основанием образца (режим постоянной высоты). Возможен также режим, предусматривающий предварительное сканирование, топографии в контактном или полуконтактном режиме, после чего производится повторное сканирование по тому же участку с поддержанием заданного удаления зонда от поверхности в каждой точке сканирования с регистрацией амплитуды либо фазы. Этот режим позволяет отделить информацию о магнитных и электрических свойствах поверхности от топографических данных , т.к. Вандер-Ваальсово притяжение кантилевера и поверхности остается практически неизменным при повторном сканировании, поскольку расстояние между зондом и поверхностью не меняется, и, значит изменение амплитуды и фазы колебаний вызываются другими дальнодействующими силами - электрическими либо магнитными.
Минимально возможное расстояние между иглой кантилевера и поверхностью образца в бесконтактном режиме определяется, с одной стороны, свойствами иглы кантилевера и поверхности, а с другой стороны - жесткостью балки кантилевера. Если по мере приближения зонда к поверхности по достижении некоторого расстояния между ними окажется, что градиент силы притяжения иглы к образцу превысил жесткость балки кантилевера, то кантилевер "прилипнет" к поверхности. Поэтому минимальная рабочая дистанция должна превышать это критическое расстояние. Наиболее значительной причиной притяжения являются, как правило, капиллярные эффекты, которые, к тому же, обладают большим собственным гистерезисом Но и в отсутствие капиллярных явлений, например, в случае несмачиваемых поверхностей, эффект "залипания" может наблюдаться из-за электростатических, магнитных и даже Ван-дер-Ваальсовых сил притяжения. Поэтому чем вы те жесткость кантилевера тем меньше может быть рабочее расстояние, и тем большего разрешения можно достичь (при удалениях, соизмеримых, или превы-шающих радиус кривизны кантилевера), хотя при этом возрастает и сила взаимодействия. Возможна также ситуация, когда градиент сил притяжения не превосходит жесткости кантилевера вплоть до касания иглы и поверхности, т.е. вплоть до сближения крайних атомов зонда и образца в область отталкивающего потенциала, и, значит, рабочее расстояние может быть сколь угодно малым. Такая ситуация является переходной между бесконтактным и полуконтактным режимом.

