Алкалоиды
План реферата
Алкалоиды (общие сведения)
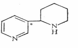
1. Пиридиновая группа
а) Никотин
б) Анабазин
2. Хинолиновая группа
а) Хинин
б) Стрихнин
3. Изохинолиновая группа
а) Папаверин
б) Кураре
4. Фенантреновая группа
а) Морфин
б) Кодеин
5. Тропиновая группа
а) Атропин
б) Кокаин
6. Пуриновая группа
а) Кофеин
Воздействие на человека
1. Алкалоиды группы опиума
2. Кокаин
3. Никотин
4. Кофеин Алкалоиды
Понятие алкалоиды не является строгим. Принято алкалоидами называть азотсодержащие органические соединения гетероциклического строения, обладающие ярко выраженным физиологическим действием на организм человека и животных. Большинство алкалоидов обладает сложным строением.
Лечебные и ядовитые свойства экстрактов многих растений были известны еще в глубокой древности. Строение первого алкалоида – кониина – было установлено в 1886г., и после этого развитие химии алкалоидов пошло вперед гигантскими шагами.
Алкалоиды являются продуктами обмена веществ в растениях. Наиболее богаты алкалоидами двудольные растения, а среди них семейства маковых, сложноцветных, лютиковых, пасленовых и мареновых.
Так как обычно в одной группе растений содержатся алкалоиды, близкие по структуре, то классификация алкалоидов проводится, как правило, по группе растений, в которых они имеются. Например, алкалоиды болиголова, алкалоиды арековой пальмы, алкалоиды пасленовых, алкалоиды кока, алкалоиды опия и т.д. В настоящее время выделено и охарактеризовано уже более 2000 алкалоидов из них только 50 содержится в животных [1].
В ходе эволюции высшие растения выработали так называемую метаболическую экскрецию, делающую возможным накопление вторичных соединений в продуцирующем их организме, но вне метаболистически активных центров – обычно в вакуолях и клеточной стенке. Алкалоиды обнаруженные у животных, не всегда синтезируются самим организмом; иногда их происхождение связано с характером пищи. Так бобры накапливают алкалоид касторамин, который очень близок к алкалоиду дезоксинуфаридину, содержащемуся в корневищах кубышки желтой, используемой ими в пищу.
В большинстве случаев алкалоиды находятся в растении в виде солей органических и неорганических кислот. Локализуются преимущественно в определенных частях (органах) растений, например у хинного дерева – главным образом в коре, у аконита – в клубнях, у кокаинового куста в листьях. Содержание алкалоидов в тканях обычно составляет десятые – сотые доли процента и редко доходит до 10-15% (кора хинного дерева).
Долгое время биологические функции алкалоидов в растительном организме были неясны. Чаще их считали конечными продуктами обмена веществ, или иными экстрактами. Однако было доказано, что алкалоиды активно вовлекаются в обменные процессы. Возможно, алкалоиды также защищают растения от поидания животными, т.е. являются антифедантами[3].
Кроме того, алкалоиды классифицируются по основаниям. Всего выделяют 6 групп алкалоидов: пиридиновая (никотин), хинолиновая (хинин, стрихнин), изохиниловая (папаверин, кураре), фенантреновая (морфин, кодеин), тропиновая (атропин) и пуриновая (кофеин) [4].
Немногие алкалоиды жидкости и являются летучими соединениями, большинство же удалось выделить в кристаллическом виде; последние содержат кислород, в первых его не имеется.
Большинство алкалоидов оптически деятельно, и притом вращает влево.
Алкалоиды почти все горьки на вкус; в небольшом количестве многие из них производят возбуждающее действие на нервную систему, в больших же дозах они часто являются весьма ядовитыми. Из-за этого возбуждающего действия растения, содержащие алкалоиды, издавна употреблялись людьми то для приготовления напитков (чай, кофе—ради кофеина, какао-ради теобромина), то для курения (табак, опиум), то для жевания (листья коки). Злоупотребление некоторыми алкалоидами, особенно вспрыскиваниями морфия или нюханьем кокаина, ведет к очень тяжелым последствиям. Кроме того, отдельные алкалоиды обладают специфическим физиологическим действием, чем часто пользуются в медицине.
Все это издавна возбуждало большой интерес к изучению алкалоидов. Выяснилось, что все они представляют амины, вторичные или третичные, но не первичные, а иногда—аммониевые основания. В связи с этим алкалоиды проявляют основные свойства, т.е. реагируют с кислотами и дают двойные соли с хлорной платиной.[2]
Пиридиновая группа
Никотин
Никотин, алкалоид, содержащийся в табаке (до 8%), а также в растениях некоторых других родов; производные пиридина. При курении табака никотин возгоняется, проникает в дыхательные пути и, всасываясь, действуют на ганглии вегетативной нервной системы и на т. н. холинреактивные структуры центральной и периферической нервной системой. В малых дозах никотин действует возбуждающе на нервную систему, в больших вызывает ее паралич. Никотин это один из самых ядовитых алкалоидов: несколько капель (100-200 мг, т.е. количество, содержащееся в 200 г табака) при в ведении в человека вызывают смерть[3], а ПДК никотина в воздухе составляет 0,5 мг/м3 [5].
Никотин используется в сельском хозяйстве как инсектицид.
Анабазин
Анабазин основной алкалоид ежовника безлистного, произрастающего в Средней Азии. Как и никотин, сильно токсичен, но тоже применяется в качестве контактного инсектицида.[1]
Хинолиновая группа
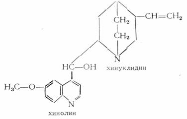
Хинин
Хинин представляет белые кристаллы, в безводном состоянии плавящиеся при 175°, а из воды выделяющиеся с 3 молекулами кристаллизационной воды. Соли его очень горьки на вкус и обладают в растворе прекрасной синей флуоресценцией. Хинин- важнейшее средство против малярии и вообще жаропонижающее; применяется обыкновенно в виде средней сернокислой или хлористоводородной (с одной молекулой НСL) соли.
Хинин в больших дозах ядовит. [2]
Стрихнин
Стрихнин очень ядовит даже в малых дозах вызывает сильные судороги. В терапевтических дозах применяется при хранических катарах желудка, как возбуждающее средство для сердечной деятельности и центральной нервной системы [4]
Изохинолиновая группа
Папаверин
Папаверин- алкалоид содержащийся в опиуме. Употребляется как снотворное и антиперистальное средство.[4]
Кураре
Кураре представляет собой соединение нескольких различных алкалоидов. При введении под кожу терапевтических доз его наступает полное расслабление поперечнополосатой мускулатуры, в больших дозах вызывает смерть.[4]
