Алкалоиды
Фенантреновая группа
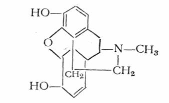
Морфин.
Морфин, алкалоид опийного мака. Обладает сильным болеутоляющим, выраженным снотворным и эйфорическим действием. Тормозит условные рефлексы и усиливает действие наркотических снотворных и местноанастизирующих средств. Возбуждает рвотный центр и понижает возбудимость дыхательного и кашлевого центров, тормозит двигательную и секреторную активность желудочно-кишечного тракта. Понижает основной обмен. Гидрохлорид морфина используют в медицине как обезболивающее средство. Длительное применение приводит к наркомании (морфинизму).[3]
Кодеин применяется против кашля и болей[4]
Тропиновая группа
Атропин
Алкалоид беладонны, дурмана и белены. Несмотря на исключительно высокую токсичность, широко применяется в медицине, в частности в глазной практике, так как обладает способностью расширять зрачок.[1].
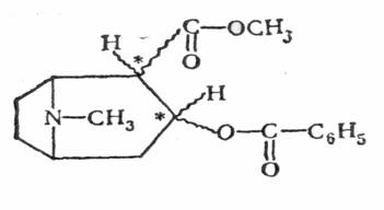
Кокаин
Один из основных алкалоидов коки – кокаин был первым из открытых местнообезбаливающих и наркотических средств. Противопоказания при его применении в медицине обуславливаются его способностью вызывать наркоманию из-за привыкания организма.[1]
Кокаин вращающий влево и в виде хлористоводородной соли часто применяемому в медицине для местной анестезии.
Кроме левовращающего кокаина, в листьях коки содержится и немного правовращающего, но этот последний не является антиподом первого и дает иной эфект; так называемый, псевдококаин или d-кокаин,. Дело в том, что уже тропин может существовать в 2 формах, которые считаются цис-транс-изомерами:
метил (при азоте) и гидроксил могут находиться либо по одну и ту же сторону от плоскости кольца, либо по разные стороны. Тропин отвечает менее стойкой форме и легко переходит в β-тропин. Бензойный эфир последнего, тропакокаин, также найден был в листьях коки. При восстановлении эфира тропинонкарбоновой кислоты (XII).
Интересно отметить, что этот d-кокаин действует лучше обыкновенного: анестезирующее действие сильнее, а ядовитость меньше. Таким образом, эти два свойства, хотя и оба зависят от конфигурации, но меняются различно. Это открывает надежду найти еще менее ядовитый и в то же время более действительный препарат.[2]
Пуриновая группа
Кофеин
![]() |
Кофеин - соединение из группы метилксантинов. Это алкалоид, содержащийся в листьях чая, в семенах кофе, в семенах какао, в семенах кола и в других растениях. У кофеина сочетаются психостимулирующие и аналептические свойства. Особенно выражено у него прямое возбуждающее влияние на кору головного мозга. Кофеин стимулирует психическую деятельность, повышает умственную и физическую работоспособность, двигательную активность, укорачивает время реакции. После его приема появляется бодрость, временно устраняются или уменьшаются утомление, сонливость[7]/
Воздействие на человека
Алкалоиды группы опиума.
За последние годы увеличилось число лиц, употребляющих алкалоиды опия, чаще стали возникать острые состояния на фоне их приема, в том числе и острые отравления наркотиками, возрос уровень комбинации наркотических средств, стали потребляться новые химически активные вещества в кустарной обработке, чаще регистрируются брутальные расстройства гомеостаза в результате длительной интоксикации. Все это показывает необходимость детального анализа этих состояний.
Всасывание алкалоидов группы опия через желудочно-кншечный тракт происходит быстро, при курении, при парентеральном введении действие наступает незамедлительно. После обезвреживания в печени выведение из организма происходит через почки, частично через кишечник. Определенные концентрации в биосредах организма могут быть обнаружены в течении 8 - 12 часов. В комбинации с алкалоидами применяют димедрол, этанол, производные бензодназепинового ряда.[3]
Кокаин
Кокаин начинает работать практически мгновенно – сразу, после того как порошок попадает на слизистую носа, наступает "приход" - вспышка кайфа. Резко повышается двигательная активность, мозг "быстрее" соображает, наблюдается общий подъем душевных и физических сил. Оно и понятно: кокаин психостимулятор. Однако эффект ощущается недолго - 10, от силы 15 минут, и затем наступает депрессия, которая длится около 30-40 минут. Доза зависит от длительности потребления. Стартовая доза - две "дорожки"
Зависимость и другие опасности:
длительное употребление кокаина вызывает паранойю, глухоту, бред, нарушение пищеварения и неконтролируемые конвульсии. Кроме того, весьма вероятность проблемы со слизистой носа или отвердение вен (зависит от способа приема); нарушение фаз сна (человек перестает высыпаться)[6].
Никотин
Как ни прискорбно, мы и здесь «впереди планеты всей». Семилетний пацаненок с «бычком» в зубах уже не вызывает былого возмущения даже среди степенных представителей старшего поколения.
По официальным данным, на сегодня в России курят 60% мужчин и 30% женщин. Среди мужского населения в возрасте от 30 до 40 лет табачной зависимости подвержены 70%. Но это «цветочки». А вот и «ягодки»: регулярно курят около 40% старшеклассниц и около 50% старшеклассников. А почему бы им не курить? Запрет на продажу табачных изделий распространяется только на младенцев и подростков до 16-и лет. Да и чего греха таить: если в магазинах этот запрет худо-бедно соблюдается, то уж купить сигареты поштучно или пачкой в ларьке, киоске или у бизнес-бабушек не составит труда и для десятилетней девчонки. Страсть торговцев к деньгам понять можно, но наплевательское отношение к здоровью подрастающего поколения граничит, пожалуй, с преступлением.
Что мы имеем в результате? Никотин пагубно воздействует на бронхо-легочную систему, желудочно-кишечный тракт, сердечно-сосудистую систему. В Ижевске на диспансерном учете с болезнями органов дыхания в 1997 году состояло 11 тысяч человек, из них с хроническим бронхитом - 4710 человек, бронхиальной астмой - 1034, язвенной болезнью желудка - 9825. И около 70% из них курят, упорно продолжают вредить своему здоровью, сокращать свою жизнь. Но, что характерно, большая часть курящих - это люди с низким образовательным уровнем, чей социальный статус далек от идеала. Люди более образованные относятся к своему здоровью бережнее и внимательнее. Среди них уже вполне отчетливо видна тенденция к отказу от курения и всего, что может неблагоприятно сказаться на здоровье. В США за последние годы число курящих сократилось в три раза. Но их табачная промышленность делает немалые барыши на российской беспечности: все, что не нужно американцам, россияне с аппетитом выкуривают[8].

