Интеграл и его применение
Однако при всей значимости результатов, полученных многими чрезвычайно изобретательными математиками XVII столетия исчисления еще не было. Необходимо было выделить общие идеи лежащие в основе решения многих частных задач, а также установить связь операций дифференцирования и интегрирования, дающую достаточно общий алгоритм. Это сделали Ньютон и Лейбниц, открывшие независимо друг от друга факт, известным под названием формулы Ньютона — Лейбница. Тем самым окончательно оформился общий метод. Предстояло еще научится находить первообразные многих функций, дать логические нового исчисления и т. п. Но главное уже было сделано: дифференциальное и интегральное исчисление создано.
Методы математического анализа активно развивались в следующем столетии (в первую очередь следует назвать имена Л. Эйлера, завершившего систематическое исследование интегрирования элементарных функций, и И. Бернулли). В развитии интегрального исчисления приняли участие русские математики М.В.Остроградский (1801—1862), В.Я.Буняковский (1804—1889), П.Л.Чебышев (1821—1894). Принципиальное значение имели, в частности, результаты Чебышева, доказавшего, что существуют интегралы, не выразимые через элементарные функции.
Строгое изложение теории интеграла появилось только в прошлом веке. Решение этой задачи связано с именами О.Коши, одного из крупнейших математиков, немецкого ученого Б.Римана (1826—1866), французского математика Г.Дарбу (1842—1917).
Ответы на многие вопросы, связанные с существованием площадей и объемов фигур, были получены с созданием К. Жорданом (1838—1922) теории меры.
Различные обобщения понятия интеграла уже в начале нашего столетия были предложены французскими математиками А. Лебегом (1875—1941) и А. Данжуа (1884—1974), советским математиком А. Я. Хинчинчиным (1894—1959).
Определение и свойства интеграла
Если F(x) – одна из первообразных функции f(x) на промежутке J, то первообразная на этом промежутке имеет вид F(x)+C, где CÎR.
Определение. Множество всех первообразных функции f(x) на промежутке J называется определенным интегралом от функции f(x) на этом промежутке и обозначается ò f(x)dx.
ò f(x)dx = F(x)+C, где F(x) – некоторая первообразная на промежутке J.
f – подынтегральная функция, f(x) – подынтегральное выражение, x – переменная интегрирования, C – постоянная интегрирования.
Свойства неопределенного интеграла.
1. (ò f(x)dx) ¢ = ò f(x)dx ,
ò f(x)dx = F(x)+C, где F ¢(x) = f(x)
(ò f(x)dx) ¢= (F(x)+C) ¢= f(x)
2. òf¢(x)dx = f(x)+C – из определения.
3. ò k f (x)dx = k ò f¢(x)dx
если k – постоянная и F ¢(x)=f(x),
ò k f (x)dx = k F(x)dx = k(F(x)dx+C1)= k ò f¢(x)dx
4. ò ( f(x)+g(x)+ .+h(x) )dx = ò f(x)dx + ò g(x)dx + .+ ò h(x)dx
ò ( f(x)+g(x)+ .+h(x) )dx = ò [F ¢(x)+G ¢(x)+ .+H ¢(x)]dx =
= ò [F(x)+G(x)+ .+H(x)] ¢dx = F(x)+G(x)+ .+H(x)+C=
= ò f(x)dx + ò g(x)dx + .+ ò h(x)dx, где C=C1+C2+C3+ .+Cn.
Интегрирование
· Табличный способ.
· Способ подстановки.
Если подынтегральная функция не является табличным интегралом, то возможно (не всегда) применить этот способ. Для этого надо:
1. разбить подынтегральную функцию на два множителя;
2. обозначить один из множителей новой переменной;
3. выразить второй множитель через новую переменную;
4. составить интеграл, найти его значение и выполнить обратную подстановку.
Примечание: за новую переменную лучше обозначить ту функцию, которая связана с оставшимся выражением.
Примеры:
1. ò xÖ(3x2–1)dx;
Пусть 3x2–1=t (t³0), возьмем производную от обеих частей:
6xdx = dt
xdx=dt/6
3
ó dt 1 1 ó 1 1 t 2 2 1 ———Ø
ô— t 2 = — ô t 2dt = – ——– + C = —Ö 3x2–1 +C
õ 6 6 õ 6 3 9
2. t
ò sin x cos 3x dx = ò – t3dt = – – + C
4
Пусть cos x = t
-sin x dx = dt
· Метод преобразования подынтегральной функции в сумму или разность:
Примеры :
1. ò sin 3x cos x dx = 1/2ò (sin 4x + sin 2x) dx = 1/8 cos 4x – ¼ cos 2x + C
2.
ó x4+3x2+1 ó 1 1
ô———— dx = ô( x2+2 – ——– ) dx = — x2 + 2x – arctg x + C
õ x2+1 õ x2+1 3
Примечание: при решении этого примера хорошо делать многочлены ”углом”.
· По частям
Если в заданном виде взять интеграл невозможно, а в то же время, очень легко находится первообразная одного множителя и производная другого, то можно использовать формулу.
(u(x)v(x))’=u’(x)v(x)+u(x)v(x)
u’(x)v(x)=(u(x)v(x)+u(x)v’(x)
Проинтегрируем обе части
ò u’(x)v(x)dx=ò (u(x)v(x))’dx – ò u(x)v’(x)dx
ò u’(x)v(x)dx=u(x)v(x)dx – ò u(x)v’(x)dx
Примеры:
1. ò x cos (x) dx = ò x dsin x = x sin x – ò sin x dx = x sin x + cos x + C
x = u(x)
cos x = v’(x)
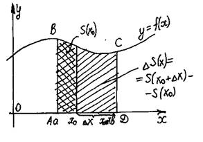
Криволинейная трапеция
Определение. Фигура, ограниченная графиком непрерывной, знакопостоянной функции f(x), осью абцисс и прямыми x=a, x=b, называется криволинейной трапецией.
Способы нахождения площади криволинейной трапеции
I. Теорема. Если f(x) непрерывная и неотрицательная функция на отрезке [a;b], то площадь соответствующей криволинейной трапеции равна приращению первообразных.
Дано: f(x)– непрерывная неопр. функция, xÎ[a;b].
Доказать: S = F(b) – F(a), где F(x) – первообразная f(x).
Доказательство:
|
|
1) Рассмотрим вспомогательную функцию S(x). Каждому xÎ[a;b] поставим в соответствие ту часть криволинейной трапеции, которая лежит левее прямой, проходящей через точку с этой абциссой и параллельно оси ординат. Следовательно S(a)=0 и S(b)=Sтр |
2) Докажем, что S(a) – первообразная f(x).
1. D( f ) = D(S) = [a;b]
2. S’(x0)= lim( S(x0+Dx) – S(x0) / Dx ), при Dx®0 DS – прямоугольник
Dx®0 со сторонами Dx и f(x0)
S’(x0) = lim(Dx f(x0) /Dx) = lim f(x0)=f(x0): т.к. x0 точка, то S(x) –
Dx®0 Dx®0 первообразная f(x).
Следовательно по теореме об общем виде первообразной S(x)=F(x)+C.
3) Т.к. S(a)=0, то S(a) = F(a)+C
C = –Fa
4) S = S(b)=F(b)+C = F(b)–F(a)
II.
|
|
1). Разобьем отрезок [a;b] на n равных частей. Шаг разбиения Dx=(b–a)/n. При этом Sтр=lim(f(x0)Dx+f(x1)Dx+ .+f(xn))Dx= n®¥ = lim Dx(f(x0)+f(x1)+ .+f(xn)) При n®¥ получим, что Sтр= Dx(f(x0)+f(x1)+ .+f(xn)) |
