КазеинРефераты >> Технология >> Казеин
1. АССОРТИМЕНТ
Молочно-белковые концентраты получают из обезжиренного молока или сыворотки путем удаления воды, минеральных веществ и лактозы, а также путем одновременного концентрирования белков.
В зависимости от массовой доли сухих веществ молочно-белковые концентраты подразделяют на жидкие и пастообразные, сухие. Кроме того, внутри каждой группы молочно-белковые концентраты делят по виду белка и растворимости в воде.
Классификация молочно-белковых концентратов приведена ниже.
Примечание. Термин «диспергированный» характеризует такие виды молочных белков, которые путем механической обработки раздроблены до очень мелких частиц и при добавлении к жидкости образуют взвесь и не
выпадают в осадок.
Рис.5.1-Классификация МБК из обезжиренного молока и молочной сыворотки.
Систематизированный перечень видов молочно-белковых концентратов с указанием массовой доли белка и сухих веществ изложен в табл. 5.1.
Таблица 5.1 - Ассортиментная номенклатура молочно-белковых концентратов
Казеин-сырец относят к классу нерастворимых, содержащих только казеин, жидким и пастообразным молочно-белковым концентратам; концентрат молочно-белковыи в блоках представляет собой класс растворимых, содержащих казеин и сывороточные белки, жидких и пастообразных молочно-белковых концентратов.
Казеин пищевой, казеин для пищевых казеинатов, казеин технический и казеин сычужный являются нерастворимыми, содержащими только казеин, сухими молочно-белковыми концентратами.
Казеинат натрия и казецит пищевой обычный — класс растворимых, содержащих только казеин, сухих молочно-белковых концентратов.
Копреципитаты пищевые растворимые, концентрат молочно-белковыи сухой относят к классу растворимых, содержащих казеин и сывороточные белки, сухих молочно-белковых концентратов.
5.2. ХАРАКТЕРИСТИКА
Казеин получают кислотной (или сычужной) коагуляцией белков из обезжиренного молока, казеинаты — растворением кислотного казеина в гидроокисях или солях щелочных (или щелочноземельных) металлов, а копреципитаты — термокальциевой коагуляцией комплекса казеина и сывороточных белков из обезжиренного молока.
Физико-химические показатели молочно-белковых концентратов приведены в табл. 5.2, а области их применения—в табл. 5.3.
5.3. СПОСОБЫ КОАГУЛЯЦИИ БЕЛКОВЫХ ВЕЩЕСТВ МОЛОКА
В целях выделения белковых веществ из молока используют кислотный сычужный и термокальциевый способы коагуляции. Выбор способа коагуляции определяется в соответствии с конкретным молочно-белковым концентратом. В технологии кислотного казеина используют кислотную коагуляцию, сычужного казеина—сычужную коагуляцию, копреципитатов термокальциевуо коагуляцию\
Таблица 5.2 - Отличительные особенности молочно-белковых концентратов
Кислотная коагуляция. Способ основан на снижении рН молока до изоэлектрической точки казеина путем введения кислоты Взаимодействие коллоидных частиц молока с ионами водорода вызывает снижение устойчивости казеина. При установлении изоэлектрической точки (рН 4,6—4,7) казеин выделяется из молока.
Процесс кислотной коагуляции казеина (по Хеннингсену):
В сыворотку переходят a-лактоальбумин, b-лактоглобулин и иммунные глобулины, а также другие белковые вещества, содержащиеся в молоке в минимальных количествах. Массовая доля белков в сыворотке 0,6—0,8%.
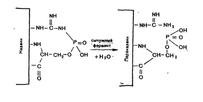
Сычужная коагуляция Механизм действия сычужного фермента на казеин.
При гидролитическом расщеплении фосфоамидной связи высвобождаются, с одной стороны, группы аргинина Увеличение количества щелочных групп приводит к сдвигу изоэлектрической точки казеина с рН 4,6—4,7 до рН 5,0—5,2 и образованию параказеина. С другой стороны, гидроксильные группы фосфорной кислоты связывают ионы кальция и создают «кальциевые мостики» между частицами параказеина. При большом количестве «мостиков» образуется гель
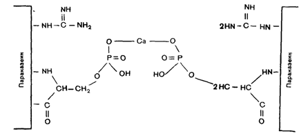
Термокальциевая коагуляция. При введении в молоко хлористого кальция происходит химическое взаимодействие ионов кальция со свободными гидроксильными группами фосфорной кислоты, входящей в молекулу казеина, и катионный обмен между Н-ионами казеинового комплекса и Са-ионами раствора хлористого кальция
В результате катионного обмена казеинаткальцийфосфатный комплекс обогащается кальцием, высвобождение Н-ионов вызывает подкисление молока с рН 6,5 до рН 5,0, снижение устойчивости и агрегацию коллоидных частиц
При насыщении комплекса кальцием резко снижается его термоустойчивость Масса 1—1,5 г хлористого кальция в 1 л молока при нагревании до 95—97 °С приводит к полной коагуляции казеина Одновременно с казеином коагулируют и термолабильные сывороточные белки
При нагревании молока тепловая энергия вызывает структурные изменения в альбуминах и лактоглобулине вследствие разрыва связей побочной валентности и полимеризации 5Н-групп происходит образование комплекса между х казеином и сывороточными белками, а затем под действием ионов кальция совместное их осаждение
ОБЩАЯ ТЕХНОЛОГИЯ
Производство казеина состоит из следующих операций получение и подготовка обезжиренного молока, приготовление коагулянта, осаждение казеина, постановка и обработка зерна, промывка, обезвоживание, дробление, сушка, упаковывание и хранение казеина (см
Прииечание В расчетах кислотность сыворотки принята равной 180°Т: кислотность сыворотки, выделившейся при осаждении казеина, 55 °Т
151. Расход кислой сыворотки на обсушку Зерна\казеина
При кислотности сыворотки, меньшей или большей 180 °Т, количество сыворотки, наиденное по табл. 149, умножают на коэффициент для пересчета на сыворотку фактической кислотности:
|
Кислотность сыворотки, °Т |
160 |
170 |
180 |
190 |
200 |
210 |
220 |
230 |
|
Коэффициент пересчета |
1,12 |
1,06 |
1,00 |
0,95 |
0,90 |
0,86 |
0,82 |
0,78 |
