КазеинРефераты >> Технология >> Казеин
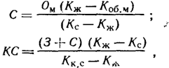
Расход кислой сыворотки на коагуляцию казеина С и на обсушку зерна КС можно определить по формулам
где Ом — объем перерабатываемого обезжиренного молока, л; Кж — желаемая кислотность сыворотки в ванне, °Т; /Сов м, Ас — кислотность обезжиренного молока и сквашенной сыворотки, °Т; (3-{-С) — объем зерна и сыворотки в ванне после слива части сыворотки, л. Кк.с — фактическая кислотность сквашенной сыворотки, °Т.
Последовательность технологических операций при производстве сычуж-ного казеина, казеината натрия, казецитов, копреципитатов пищевых растворимых, концентратов молочно-белковых приведена ниже.
ПОРОКИ
Пороки молочно-белковых концентратов возникают как результат использования недоброкачественного исходного сырья, отклонений от рекомендованных технологических режимов и условии хранения готового продукта. В табл. 152 приведены пороки молочно-белковых концентратов и способы их устранения.
