Система автоматического регулированияРефераты >> Технология >> Система автоматического регулирования
Рис. 8 - Амплитудно-фазовая характеристика апериодического звена
Амплитудно-частотная характеристика апериодического звена представлена на рисунке 9.
Рис. 9 - Амплитудно-частотная характеристика апериодического звена
Фазо-частотная характеристика апериодического звена представлена на рисунке 10.
Рис. 10 - Фазо-частотная характеристика апериодического звена
Рис. 11 - ЛAЧX апериодического звена
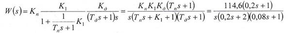
2. Передаточные функции разомкнутой и замкнутой САР
Передаточная функция разомкнутой САР
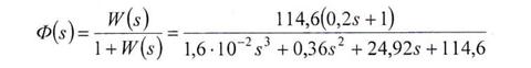
Передаточная функция замкнутой САР
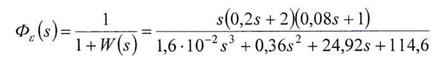
Передаточная функция замкнутой САР по ошибке
3. Исследование устойчивости системы регулирования
Оценку устойчивости САР выполняем на основе определения корней характеристического уравнения
|
|
а3 а2 а1 а0
С помощью ППП MathCAD находим корни характеристического уравнения
|
|
Так как все корни имеют отрицательные вещественные части, то анализируемая система является устойчивой.
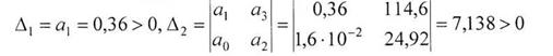
Определим устойчивость по критерию Гурвица. Для этого вычислим определители.
а2∙а1 > a3∙a0
Так как а0 > 0 и все определители положительны, согласно критерию Гурвица система устойчива.
На основе характеристического уравнения записываем функцию Михайлова
Вещественная и мнимая функции Михайлова имеют вид
|
|
Выполнив расчет по формулам, построим кривую Михайлова.
Таблица 2
|
Ω,c-1 |
0 |
1 |
10 |
100 |
1000 |
∞ |
|
X(ω) |
114,6 |
114,2 |
78,6 |
-3,49∙103 |
-3,60∙105 |
-∞ |
|
Y(ω) |
0 |
24,9 |
233 |
-3,49∙104 |
-1,60∙107 |
-∞ |
Критерий Михайлова утверждает, что система устойчива, если годограф, начинаясь на действительной положительной полуоси, огибает против часовой стрелки начало координат, проходя последовательно n квадрантов, где n - порядок системы. Порядок нашей системы - 3. Кривая Михайлова огибает начало координат, проходя последовательно три квадранта.
Таким образом, удовлетворяются условия критерия Михайлова, и система устойчива.
Рис. 12 - Кривая Михайлова
4. Оценка качества регулирования на основе корневых показателей
Для оценки показателей качества регулирования воспользуемся найденными в разделе 3 значениями корней
Степень устойчивости η - это расстояние от мнимой оси до ближайшего корня или ближайшей пары сопряженных комплексных корней, η= 4,87с-1
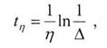
Время переходного процесса
где Δ - параметр, характеризующий затухание переходного процесса.
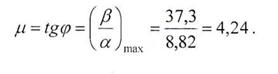
Колебательностью системы называют тангенс угла, образованного отрицательной вещественной полуосью и лучом из начала координат к корню, у которого отношение мнимой части к действительной максимально. Для заданной системы
|
|
|
|
