Исследование системы программного регулирования скорости вращения рабочего органа шпинделяРефераты >> Управление >> Исследование системы программного регулирования скорости вращения рабочего органа шпинделя
СОДЕРЖАНИЕ:
ВВЕДЕНИЕ
Исходные данные
1.Структурная схема системы
2. Определение коэффициента усиления электронного усилителя по заданной точности
3. Определение устойчивости системы методом Михайлова А.Б.
4. Коррекция системы
4.1. Построение ЛАЧХ корректирующего устройства
4.1.1. ЛАЧХ разомкнутой нескоректированной системы Lнс (w)
4.1.2. ЛАЧХ желаемой системы Lж(w)
4.1.3. ЛАЧХ корректирующего устройства Lк(w)
4.2. Техническая реализация корректирующего устройства.
I-Звено
II-Звено
III-Звено
IV-Операционный усилитель
4.3. Проверка правильности выбора корректирующих звеньев.
5. Построение переходного процесса и определение прямых показателей качества
ЗАКЛЮЧЕНИЕ
СПИСОК ЛИТЕРАТУРЫ
ВВЕДЕНИЕ
Курс теории автоматического управления ставит своей целью ознакомить с общими принципами построения систем автоматического управления, с процессами в этих системах и методами их исследования. Принципы построения систем автоматического управления связаны с общими законами управления, значение которых выходит далеко за пределы технических задач.
Теория автоматического управления сформировалась в самостоятельную науку, в первую очередь на основе изучения процессов управления техническими устройствами. Изучение принципов построения и исследования систем автоматического управления в курсе ОТУ проводится на основе рассмотрения управления различными техническими устройствами, и первое понятие, которое конкретизирует довольно широкое поле деятельности этого курса является автоматическое регулирование. Под автоматическим регулированием понимают поддержание на определенном уровне или изменение по закону некоторых переменных характеристик (регулируемых величин) в машинах и агрегатах без участия человека с помощью различного рода технических средств.
Рассматриваемые принципы управления имеют более широкий общий смысл и могут быть применены при изучении процессов управления в совершенно иных системах, например, в биологических, экономических, социальных и др.
Исходные данные
![]() |
Рис. 1
На рис.1 использованы следующие обозначения:
ü ОВ ЭМУ – обмотка возбуждения ЭМУ.
ü ЭМУ - электромагнитный усилитель.
ü Д - двигатель постоянного тока
ü ОВД – обмотка возбуждения двигателя.
ü Р – редуктор.
ü ТГ – тахогенератор.
ü У – электронный усилитель.
ü E - ошибка рассогласования.
ü V - скорость изменения напряжения.
ü М – момент инерции шпинделя.
Система регулирования работает следующим образом: с электронного усилителя У усиленный сигнал рассогласования Е поступает на обмотку возбуждения ЭМУ (ОВ ЭМУ), ток, проходящий через ОВ ЭМУ меняется,изменяя тем самым величину магнитного потока, действующего на ротор электромагнитного усилителя (ЭМУ) - увеличивая или уменьшая скорость его вращения, ив зависимости от этих изменений меняется скорость и направление вращения двигателя (Д). Двигатель (Д), редуктор (Р), тахогенератор (ТГ) и шпиндель находятся в жесткой механической связи, поэтому изменения в скорости и в направлении вращения двигателя вызывают соответствующие изменения в скорости и в направлении вращения рабочего органа шпинделя, а также в работе тахогенератора (ТГ), который передвигает ползунок реостата в сторону изменения ошибки несогласования E.
Требуется:
1. Составить структурную схему и вывести уравнения, которыми описываются отдельные элементы и вся система регулирования в целом. Определить коэффициент усиления усилителя из заданной точности.
2. Определить устойчивость и качество переходных процессов в системе с помощью частотных методов.
3. Скорректировать систему.
4. Построить переходный процесс в системе и оценить его качество.
Дано:
| Тэ1 | Тэ2 | Тд | Кэму | Кд | Кред | Ктг |
E,% | V |
| 0,1 | 0, 7 | 2,5 | 4 | 3 | 2 | 0,1 | 0,4 | 0,5 |
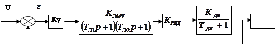
1.Структурная схема системы.
На основании принципиальной схемы (рис. 1) составим структурную схему (рис. 2) и рассмотрим все ее элементы для получения передаточной функции всей системы.
![]() |
Рис. 2
1.1 Усилитель.

(1)
где Ky – коэффицент усиления электронного усилителя.
1.2 ЭМУ
(2)
где Кэму- коэффицент передачи ЭМУ;
Тэ1,Тэ2 - постоянная времени ЭМУ.
1.3 Двигатель
(3)
где Кдв- коэффицент передачи двигателя постоянного тока.
Тдв - постоянная времени двигателя
1.4 Редуктор


