Исследование стабильности параметров качества печати на листовой офсетной машинеРефераты >> Журналистика >> Исследование стабильности параметров качества печати на листовой офсетной машине
Ц=хХ + уУ + zZ (1.5)
Другой закон аддитивности определяет цвет как самостоятельную величину. Согласно этому закону, цвет смеси зависит только от цветов смешиваемых компонентов и не зависит от их спектрального состава. Поэтому если смешивается несколько цветов, например Ц1 Ц2, Ц3:
Ц = Ц1 + Ц2, + Ц3, (1.6)
то при замене одного из цветов в правой части этого уравнения другим цветом, вызывающим одинаковое с ним возбуждение глаза, результирующий цвет левой части уравнения не нарушится. Таким образом, цвет простого излучения можно заменить цветом сложного излучения, и наоборот.
Этот закон позволяет описывать цвета достаточно простыми математическими соотношениями. Так, например, чтобы сложить несколько цветов, достаточно каждый из цветов представить в виде суммы основных цветов в соответствии с первым законом:
Ц1 = x1Х + у1Y + z1Z (1.7)
Ц2 = х2Х + у2Y + z2Z;
Ц3 = x3Х + узY + z3Z
После сложения получим
Ц = Ц1 + Ц2 + Цз = (х1+ x2 + х3)Х+(у1+ y2+ у3) У + (z1+ z2 + z3)Z (1.8)
Уравнение (3.3.2.4) свидетельствует, складываются координаты цветов или, координат суммы цветов складываются цветов, ее составляющих.
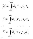
Расчет координат цвета несветящихся объектов производится на основании определения на спектрофотометре значений спектральных коэффициентов отражения рλ или пропускания tλ при стандартном источнике освещения, у которого известна относительная функция распределения мощности излучения Фλ, а кроме того, известны значения функции кривых сложения цветов (x,y,z). При этих условиях координаты цвета несветящегося объекта могут быть рассчитаны следующим образом:
(1.9)
Переходя от координат цвета к координатам цветности, можно определить цветовые характеристики объекта, т. е. цветовой тон, чистоту цвета и светлоту (последняя соответствует значению координаты цветам) [22].
1.5.3.3 Субтрактивный синтез
Субтрактивный синтез, в отличие от аддитивного, основан не на сложении, а на вычитании цветов. Образование цвета происходит при прохождении белого цвета, содержащего основные цвета, через прозрачные окрашенные среды. В этом случае цвет возникает вследствие избирательного поглощения части излучения Цп из общего ΣЦ. После прохождения через окрашенную среду общее излучение изменит свой цвет на цвет Ц:
Ц = ΣЦ-Цп; (1.10)
Если на пути излучения будет находиться несколько сред, то вычитаемое в уравнении (1.10) будет состоять из нескольких членов. Поскольку при субтрактивном синтезе используется именно несколько сред, они не могут быть окрашены в основные цвета, так как каждая из таких сред поглощала бы по две трети спектра. При попарном сочетании эти среды будут полностью поглощать проходящее через них излучение. В связи с этим для субтрактивного синтеза применяют среды, окрашенные не в основные, а в дополнительные цвета - желтый, пурпурный, голубой. Среды, окрашенные в эти цвета, пропускают две трети и поглощают одну третью часть спектра светового излучения. Поэтому для многокрасочного печатания применяют краски, окрашенные в эти цвета, комплект которых называется триадой.
При трехкрасочном печатании синтез цветов осуществляется на основе применения трёх красок, каждая из которых поглощает один из основных цветов. Особенность его заключается еще и в том, что в красочном слое избирательное вычитание одних излучений и пропускание других происходит дважды. Излучение сначала проходит через красочный слой до подложки, а затем, отражаясь от нее, вторично проходит тот же слой и, испытав при этом селективное поглощение, поступает в глаз наблюдателя.
Чтобы пропущенная часть излучения имела максимальную величину, краска должна обладать в зоне пропускания прозрачностью, а подложка должна характеризоваться высоким и неизбирательным значением спектрального коэффициента отражения. Поэтому при проведении трехкрасочного печатания используют главным образом мелованную бумагу, отличающуюся высокой белизной.
Рис. 1.9 Схема образования основных и дополнительных цветов при субтрактивном синтезе триадных печатных красок: Излучения: К - красное; 3 - зелёное; С - синие; краски: Ж - жёлтая; П пурпурная; Г - голубая.
На рис. 1.9 показаны схемы образования цветов при субтрактивном синтезе на примере использования триадных красок. Рисунок иллюстрирует случай идеального субтрактивного синтеза, выполненного при условии использования источника с единичными основными излучениями, красок, абсолютно прозрачных в зонах пропускания и полностью поглощающих одну третью часть спектра, и подложки, полностью отражающей падающий свет. В результате такого субтрактивного синтеза образуется восемь различных цветов: белый при отсутствии красок (незапечатанная бумага), три дополнительных цвета при наложении на подложку одной триадной краски, три основных цвета при попарном совмещении триадных красок, черный при тройном наложении тех же красок.
При таком идеальном синтезе отраженные излучения по интенсивности не будут отличаться от падающих. Причем, как бы ни менялась толщина красочных слоев, эффект отражения не будет меняться. Если вместо идеальной подложки, характеризующейся 106%-ным отражением по всему спектру, взять иную, например, отражающую равномерно 80% упавшего света, то все отраженные излучения, прошедшие слой краски (или красок), не будут больше этой величины. Отсюда следует, что для получения иных цветов, кроме восьми, указанных выше, надо менять интенсивность основных излучений. Практически это осуществить невозможно, да и не нужно по той причине, что у реальных триадных красок, в отличие от идеальных, поглощающая способность в зонах поглощения зависит от толщины слоя краски или от концентрации в ней пигмента. Чем меньше толщина слоя краски, тем в большем количестве проходит излучение в зоне поглощения и тем выше светлота полученного цвета и меньше его насыщенность. Именно эта особенность реальных красок создавать при наложении разнотолщинных слоев различные комбинации цветов использована в глубокой печати.
Наглядное представление о влиянии рассмотренных свойств реальных триадных красок при субтрактивном синтезе цвета дает (рис 1.9). Схемы рисунка построены с учетом, что толщина каждого слоя краски не превышает 1 мкм. При этой толщине желтая краска, поглощает синее излучение не полностью. Вследствие этого получающийся желтый цвет становится «холоднее». Вместе с тем добавка синего излучения снижает насыщенность желтого цвета, так как вместе с остальными излучениями определяет его ахроматическую долю. Рассеянные излучения в зеленой и красной зонах увеличивают интенсивность желтого цвета. Пурпурная краска при той же толщине слоя пропускает незначительную часть зеленого излучения. Несколько больше, но также явно недостаточно пропускает она синее излучение. В основном же она пропускает красное излучение, интенсивность которого увеличивается благодаря светорассеянию в этой зоне. Голубая краска пропускает, с частичным поглощением, синее и зеленое излучения и незначительную часть красного излучения, которое несколько снижает ее насыщенность.
