Конструирование и расчет основных несущих конструкцийРефераты >> Строительство >> Конструирование и расчет основных несущих конструкций
При определении погонной нагрузки учитывается, что шаг несущих конструкций Lк=6.000 м.
Собственный вес фермы:
kj = 2,5 – коэффициент «собственного веса» фермы, зависящий от типа конструкции.
Коэффициент надежности по нагрузке: γf = 1.6, т.к. g/p = 0.092 / 1.648=0.056 < 0.8 [2, п.5.7]
Рис. 4. Расчетная схема фермы
3.2. Статический расчет фермы
Таблица 4. Статический расчет стропильной фермы
|
Стержень |
От единичной нагрузки 1 кН/м |
Постоянная нагрузка, q=3.368 kН |
Снеговая нагрузка, q=14.400 kH |
Расчётное усилие | |||||
|
Слева |
Справа |
Пролёт |
Слева |
Справа |
Пролёт | ||||
|
1 |
2 |
3 |
4 |
5 |
6 |
7 |
8 |
9 | |
|
Верхний пояс |
1-2 |
-13.93 |
-6.630 |
-20.56 |
-75.411 |
-200.592 |
-95.472 |
-296.064 |
-371.475 |
|
2-4 |
-13.93 |
-6.630 |
-20.56 |
-75.411 |
-200.592 |
-95.472 |
-296.064 |
-371.475 | |
|
4-6 |
-6.63 |
-13.930 |
-20.56 |
-75.411 |
-95.472 |
-200.592 |
-296.064 |
-371.475 | |
|
6-7 |
-6.63 |
-13.930 |
-20.56 |
-75.411 |
-95.472 |
-200.592 |
-296.064 |
-371.475 | |
|
Нижний пояс |
1-3 |
12.58 |
6.300 |
18.88 |
69.249 |
181.152 |
90.720 |
271.872 |
341.121 |
|
3-5 |
6.30 |
6.310 |
12.61 |
46.251 |
90.720 |
90.864 |
181.584 |
227.835 | |
|
5-7 |
6.30 |
12.580 |
18.88 |
69.249 |
90.720 |
181.152 |
271.872 |
341.121 | |
|
Раскосы |
2-3 |
-4.20 |
0.000 |
-4.20 |
-15.405 |
-60.480 |
0.000 |
-60.480 |
-75.885 |
|
5-6 |
0.00 |
-4.200 |
-4.20 |
-15.405 |
0.000 |
-60.480 |
-60.480 |
-75.885 | |
|
3-4 |
7.55 |
-0.010 |
7.54 |
27.655 |
108.720 |
-0.144 |
108.576 |
136.231 | |
|
4-5 |
-0.01 |
7.550 |
7.54 |
27.655 |
-0.144 |
108.720 |
108.576 |
136.231 | |
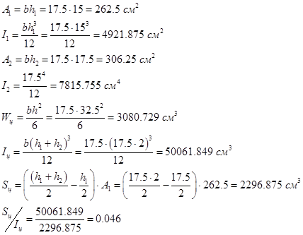
3.3. Конструктивный расчет верхнего пояса
Рис. 5. Расчетная схема верхнего пояса
Предварительные геометрические размеры поперечного сечения составляющих элементов и сечения в целом:
Механические характеристики древесины: сосна 2-го сорта; Rс = Rи = 1.5 кН/см2;Е=450 кН/см2
Характеристики средств соединения: нагельные пластины Ст9Г6к; d = 6 мм; nн = 9; Тн = 1.4 кН; Тс = Тн d = 1.4 ∙ 9 =12.6 кН; dс = 0.1 см; Dс= 0.2 см.
Продольная сила: N=371.475 kН; Максимальный изгибающий момент от поперечной нагрузки:
Для уменьшения величины изгибающего момента используется эксцентричное сопряжение панелей верхнего пояса в узлах фермы через жесткие торцевые диафрагмы. Минимально допустимая высота диафрагмы определяется из расчета опорного торца панели на смятие:
Продольная сила передается торцам нижнего и верхнего составляющих элементов – брусьев – для снижения общего количества связей сдвига вследствие восприятия части сдвигающих усилий по плоскости сплачивания торцевыми диафрагмами. При таком загружении появляется эксцентриситет:
