Конструирование и расчет основных несущих конструкцийРефераты >> Строительство >> Конструирование и расчет основных несущих конструкций
Нормативная масса колонны, длиной: Нк = 400 cм и поперечным сечением: bкhк = 15х15 cм составляет: Gк = 0.515 кН; g = 500 кг/м3 – удельный вес древесины. Грузовая ширина – с учетом карнизных участков покрытия: (17.0 + 0.6)/2 = 8.80 м
Определение ветровой нагрузки по [2, форм. 6]:
wi = gf ωо k ci ℓк, где:
gf = 1.4 – коэффициент надежности по ветровой нагрузке [2, п. 6. 11];
ωо = 0.230 кН/м2 – нормативный скоростной напор ветра для г. Н.Новгород по [2, табл. 5, прил. 5];
k = 0.65 – коэффициент, учитывающий изменение ветрового давления по высоте до 5 м;
сi – аэродинамический коэффициент [2, прил. 4];
ℓк = 6.0 м – шаг колонн по заданию.
Таблица 7. Ветровые нагрузки на колонну
| Вид нагрузки | Нормативная интенсивность | Се | К | ?f | Расчетная интенсивность, кН/м | |
| кН/м2 | кН/м | |||||
|
Наветренное давление | 0.230 | 0.920 | 0.8 | 0.65 | 1.4 | 0.670 |
|
Подветренное давление | 0.230 | 0.920 | 0.6 | 0.65 | 1.4 | 0.502 |
Учитывая приблизительное равенство коэффициентов се1 и се2 по покрытию, влиянием горизонтальных составляющих ветровой нагрузки пренебрегаем.
4.2. Определение изгибающих моментов в колоннах
Нормальная жесткость ригеля EIр принимается бесконечно большой. Определение значений неизвестных усилий, приложенных в направлениях продольной оси ригеля от ветрового давления:
Максимальный изгибающий момент в опорном сечении колонны от ветрового давления на уровне обреза фундаментов Lк = 350 см:
4.2.1. Расчетные сочетания нагрузок
Возможные сочетания воздействующих на колонну постоянных и временных нагрузок.
1. Постоянная и одна временная (коэффициент сочетания нагрузок: с = 1.0):
a) постоянная + снеговая:
Nа = Nmax =32.843 + 126.720 = 159.563 кН;
Ма = 0
b) постоянная + ветровая:
Nа =33.513 кН;
Ма = Mmax = 485.576 кН∙см
2. Постоянная + снеговая + ветровая (коэффициент сочетания нагрузок: с = 0.9):
Nа =32.843 + 124.312 ∙ 0.9 = 146.891 кН;
Ма = 485.576 ∙ 0.9 = 437.018 кН∙см
4.2.2. Конструктивные параметры колонны
Проверка принятого сечения. Достаточный радиус инерции поперечного сечения:
, где:
mz = 2 – коэффициент приведения длины в плоскости изгиба;
lпр = 120 – ограничение предельной гибкости сжатых и сжато–изгибаемых элементов.
Требуемая высота поперечного сечения колонны:
Расчет аналогично из плоскости изгиба, при m у = 1:
Требуемая ширина поперечного сечения колонны:
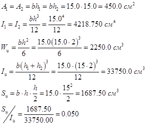
Принимаем высоту сечения колонны: hк = 30 см, т.е. h1 = h2 = 15 см ширину сечения: bк = 15 см. Геометрические параметры поперечного сечения:
Материал – сосна 2-го сорта; Rс = Rи = 1,5 кН/см2; Е = 450 кН/см2. Характеристики средств соединения: нагельные пластины НПСТ12Г6к; d = 6 мм; nн = 12; Тн = 1.4 кН; Тс = Тн d = 1.4 ∙ 12 = 16.8 кН; dс = 0.1 см; Dс = 0.2 см.
Расчетное количество нагельных пластин по длине плоскости соединения элементов:
принимаем 10 нагельных пластин.
М = WцRc – виртуальный изгибающий момент возможный при потере устойчивости колонны.
4.5. Конструктивный расчет колонны
Расчет колонны производится при двух сочтаниях нагрузок: Nmax – Mсоотв сочетание 1а; Мmax – Nсоотв сочетание 2. Из двух вариантов 1б и 2 наиболее опасным является последнее, так как при почти одинаковых изгибающих моментах: 1б – Ма =485.576 кНсм, 2 – Ма =437.018 кНсм, продольная сила в сочетании 2 – Nа = 146.891 кН, существенно выше, чем в сочетании 1б – Nа = 33.513 кН; в результате чего увеличивается и напряжение сжатия и величина расчетного изгибающего момента, определяемого с учетом деформационных приращений.
4.5.1. Расчет колонны при сочетании нагрузок 1а (центральное сжатие)
Расчетные усилия: Na = 159.563 кН; Ма = 0. Напряжение от изгибающего момента при таком варианте загружения существенно меньше напряжения от продольного сжатия:
,
т.е., согласно [1, п. 14.17.5], производится расчет колонны как центрально-сжатого стержня.
Поверочный расчет принятого поперечного сечения составных элементов.
Жесткость принятых средств соединения:
;
Деформативность соединения по шву:
;
Смещение составляющих элементов:
;
Смещение в составном стержне (при nc = 5):
;
Параметр mi (для определения коэф-та ki):
;
Коэффициент приведения:
;
Гибкость колонны в плоскости изгиба:
Критическая сила (расчет на устойчивость):
Устойчивость колонны с принятым сечением в плоскости рамного поперечника обеспечена
4.5.2. Расчет колонны при втором сочетании нагрузок (сжатие с изгибом)
