Проектирование здания детского сада на 320 местРефераты >> Строительство >> Проектирование здания детского сада на 320 мест
В помещениях, имеющих умывальную, за умывальником облицевать глазурованной плиткой на ширину 1500 мм, высотой 1800 мм от пола. Расход плитки 16,2 м. Наружная отделка:
1) Наружные стены оштукатуриваются цементно-песчанным раствором марки М50 и окрашиваются фасадной краской
2) Цоколь здания, стенки крылец, входов в подвал облицовывается сплиттерной плиткой.
1.5 Теплотехнический расчет
1) Теплотехнический расчет теплого пола произведен в соответствии с положениями СН РК 2.04–21–2004.
Цементно-песчаная стяжка толщ. 40 мм =0,76, =1,8 т/м3
Утеплитель –80 мм =0,22 =0,6 т/м3
ж/б плита толщ. 220 мм =1,92 =2,5 т/м3
Dd = 5971, Zht =214
Roreq = 0.00035*5971+1.3 = 3,38985 oC/Вт – Нормируемое значение сопротивления теплопередаче
Rоb.c = n Roreq – требуемое сопротивление теплопередаче цокольного перекрытия над «теплым» подвалом
, (1)
где tint – 16oC – расчетная температура воздуха внутри здания
text –32оС – расчетная температура наружного воздуха
tbint = +5oC – расчетная температура в подвале
Rоb.c = 0,22917 * 3,38985 = 0,777
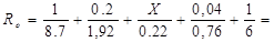
(2)
|
0.115+0.104+Х/0,22+0,0526+0,1666 = 0,4382+Х/0,22 |
0,777=0,482+Х/0,22; Х=(0,777–0,482)*0,22=0,074536
Принимаем толщину утеплителя =0,6 т/м3 – 80 мм
|
0.115+0.104+0,08/0,22+0,0526+0,1666 = 0,801 |
Условие стандартов СН РК 2.04–21–2004 и МСП 2.04–101–2001
соблюдено.
2) Теплотехнический расчет наружных стен
Конструкция стены – толщина 640 мм:
Гипсокартон – 20 мм =0,76, =1,8 т/м3
Кирпичная кладка –570 мм =0,41…0,51 =1,65 т/м3
Утеплитель «Пеноплекс» – 50 мм =0.0325 =0,065 т/м3
Dd = 5971, Zht =214
Roreq = 0.00035*5971+1.4 = 3,48985 oC/Вт – Нормируемое значение сопротивления теплопередаче
|
0.115+0.0263+0,373+Х/0,033+0,043 = 0,5573+Х/0,033 |
0.115+0.0263+0,373+Х/0,033+0,043 = 0,5573+Х/0,033
3,48985= 0,5573+Х/0,033; 2,93255 х 0,033 = 0,09677415
Принимаем толщину утеплителя – 50 мм
Конструкция стены цоколя:
Цементно-песчанный раствор толщ. 20 мм – =0,76, =1,8 т/м3
Железобетон –300 мм – =1,92, =2,5 т/м3
Утеплитель экструдированный полистирол – =0.035, =0,038 т/м3
Кирпич –120 мм – =0,41…0,51, =1,65 т/м3
Цементно-песчаный раствор толщ. 20 мм – =0,76, =1,8 т/м3
Dd = 5971, Zht =214
Roreq = 0.0003*5971+1.2 = 2,9913 oC/Вт – Нормируемое значение сопротивления теплопередаче
|
0.115+0.0526+0,156+0.2353+Х/0,035+0,043 =0,6019+Х/0,035 |
2,9913= 0,6019+Х/0,035; 2,3894 х 0,035 = 0,0836
Принимаем толщину утеплителя – 90 мм
3) Теплотехнический расчет кровли:
ж/б плита толщ. 220 мм – =1,92, =2,5 т/м3
Утеплитель – «Paros» -180 кг/м3, =0,037, =0,130т/м3
Цементно-песчаная стяжка толщ. 40 мм – =0,76, =1,8 т/м3
Roreq = 0.00045*5971+1.9 = 4,58695 oC/Вт – Нормируемое значение сопротивления теплопередаче
|
0.115+0.09375+x/0.037+0,0526+0,083 = 0.34435+ x/0.037 4.58695 = 0.34435+ x/0.037; x= 4,2426*0.037 = 0.1569762 метра |
Принимаем толщину утеплителя 180 мм
2. Основания и фундаменты
2.1 Оценка инженерно-геологических условий строительной площадки
Оценить инженерно-геологические условия строительной площадки, данные о грунтах которой приведены в таблице 2.
Рисунок 2 – Геологический разрез по данным визуальных определений
Таблица 2 – Данные лабораторного исследования грунтов
|
№ образца |
№ скважины |
Глубина отбора образца |
Содержание, % частиц размером, мм | |||||||||
|
10¸2 |
2¸0,50 |
0,50¸0,25 |
0,25¸0,10 |
0,10¸0,05 |
0,05¸0,01 |
0,01¸0,005 |
<0,005 | |||||
|
1 |
2 |
3 |
4 |
5 |
6 |
7 |
8 |
9 |
10 |
11 | ||
|
1 |
1 |
1,5 |
2,0 |
20,0 |
25,0 |
20,0 |
20,0 |
11,0 |
1,0 |
1,0 | ||
|
2 |
1 |
4,0 |
- |
3,0 |
11,0 |
36,0 |
24,0 |
8,0 |
12,0 |
6,0 | ||
|
3 |
2 |
6,0 |
- |
3,0 |
9,0 |
75,0 |
10,0 |
1,0 |
1,0 |
1,0 | ||
|
4 |
2 |
10,0 |
- |
0,4 |
0,2 |
0,6 |
10,0 |
2,2 |
12,0 |
74,6 | ||
|
WL |
Wр |
rs кН/м3 |
r кН/м3 |
W0 |
Кф см/с |
mv МПа-1 |
E0 МПа |
С кПа |
φ град | |||
|
12 |
13 |
14 |
15 |
16 |
17 |
18 |
19 |
20 |
21 | |||
|
0 |
0 |
2,68 |
1,85 |
0,15 |
7*10–9 |
0,0493 |
15,0 |
4,0 |
30 | |||
|
0,18 |
0,13 |
2,72 |
1,60 |
0,16 |
2*10–9 |
0,0435 |
17,0 |
9,0 |
18 | |||
|
0 |
0 |
2,62 |
2,00 |
0,22 |
8*10–9 |
0,0231 |
32,0 |
3,0 |
34 | |||
|
0,36 |
0,22 |
2,78 |
2,00 |
0,28 |
2*10–9 |
0,0207 |
30,0 |
20,0 |
18 | |||
