Расчет системы водоснабженияРефераты >> Строительство >> Расчет системы водоснабжения
2. В каждом контуре вычисляется невязка ∆hn, определяющая меру несоответствия потоков воды в сети второму закону Кирхгофа,
∆hn=∑siqiabs(qi)
Суммирование выполняется по участкам сети, составляющим контур, с учетом знаков и направления обхода, принятых при формулировке второго закона Кирхгофа,
3. Если модуль максимальной невязки меньше допустимой величины, увязка заканчивается; в противном случае процесс итераций продолжается,
4. Для каждого контура вычисляется поправка ∆qn, положительное направление которой противоположно обходу контура по второму закону Кирхгофа
Суммирование в знаменателе выполняется по участкам контура,
5. Контурные поправки используются для коррекции значений потоков воды на участках
qik+1=qik+∑∆qn
Суммируются поправки только тех контуров, в состав которых входит рассматриваемый участок; суммирование выполняется с учетом направлений, принятых для потоков и контурных поправок; далее вычисления повторяются, начиная с пункта 2.
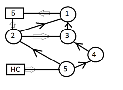
По программе получилось, что выбранные направления на участках 5,6,8,9 надо изменить на противоположные. Это будет выглядеть так:
Пьезометрический график
|
Номер узла |
Геодез. Высота Z, м |
Свободный Напор (предвар) Н,м |
Пьез. Высота (предвар) П, м |
Н, м |
П, м |
|
НС |
0,5 |
32,636 |
33,136 |
63,8 |
64,3 |
|
1 |
3,5 |
1,504 |
5,004 |
21,5 |
25 (дикт) |
|
2 |
5,0 |
19 |
24 |
38,996 |
43,996 |
|
3 |
1,5 |
21,728 |
23,228 |
41,724 |
43,224 |
|
4 |
4,0 |
20 |
24 (дикт) |
51,164 |
55,164 |
|
5 |
5,5 |
18,453 |
23,953 |
49,617 |
55,117 |
|
Б |
10,5 |
-5,507 |
4,993 |
14,489 |
24,989 |
Выбираю диктующего потребителя: 4. Задаю П4=24 м, H4=П4-z4=24-4=20 м
П5=П4-∆p4-5=24-0,047=23,953
П3=П4-∆p3-4=24-0,772=23,228
П1=П3-∆p1-3=23,228-18,224=5,004
П2=П3+∆p2-3=23,228+0,772=24
ПНС=П5+∆pНС-5=23,953+9,183=33,136
ПБ=П1-∆pБ-1=5,004-0,001=5,003
ПБ=П2-∆pБ-2=24-19,017=4,983 ПБ≈4,993
ННС=ПНС-zНС=33,136-0,5=32,636
Н1=П1-z1=5,004-3,5=1,504
Н2=П2-z2=24-5=19
Н3=П3-z3=23,228-1,5=21,728
Н5=П5-z5=23,953-5,5=18,453
НБ=ПБ-zБ=4,993-10,5= -5,507
Минимальный свободный напор получился для потребителя 1
Принимаю П1=25м
П3=П1+∆p1-3=25+18,244=43,224
П2=П3+∆p2-3=43,224+0,772=43,996
П4=П3+∆p3-4=43,224+11,940=55,164
П5=П4-∆p4-5=55,164-0,047=55,117
ПНС=П5+∆pНС-5=55,117+9,183=64,3
ПБ=П1-∆pБ-1=25-0,001=24,999
ПБ=П2-∆pБ-2=43,996-19,017=24,979 ПБ≈24,989
ННС=ПНС-zНС=64,3-0,5=63,8
Н1=П1-z1=25-3,5=21,5
Н2=П2-z2=43,996-5=38,996
Н3=П3-z3=43,224-1,5=41,724
Н4=П4-z4=55,164-4=51,164
Н5=П5-z5=55,117-5,5=49,617
НБ=ПБ-zБ=24,989-10,5=14,489
Характеристики водопитателей
Рабочий объем водонапорной башни Vp находится с помощью графика нагрузки сети. Необходимо вычислить интеграл
Vp=ʃ(Qc(τ)-Qc)dτ=6*[(0,42-0,265)+(0,38-0,265)]=1,62 м3
Если диаметр бака башни и максимальный уровень его заполнения относятся как 2:1, то с учетом 10% запаса воды диаметр бака равен
DБ=1,46Vp1/3=1,46*1,61/3=1,715 м,
h0=,5*DБ=0,8575 м
где h0 – максимальный уровень заполнения бака водой,
DБ – диаметр бака
Vp – рабочий объем
H’НС=Нтр+(zA-zНС)+∑∆p’i=20+(3,5-,5)+89,434=112,434
H”НС=HБ+(zБ-zНС)+h0+∑∆p’’i=14,489+(10,5-0,5)+0,8575+36,907=62,2535
Где ∆p’ падения давления при Qc=max, ∆p’’ падения давления при Qc=min, а
HБ, H’НС – max ; H”НС – min
Итоговая таблица
|
Уч |
D, м |
L, м |
q’, м3/с |
q’’,м3/с |
∆p’, м вод ст |
∆p’’, м вод ст |
|
1 (НС-5) |
0,45 |
700 |
0,309 |
0,198 |
9,183 |
3,771 |
|
2 (5-2) |
0,45 |
900 |
0,301 |
0,194 |
11,215 |
4,671 |
|
3 (2-Б) |
0,35 |
1000 |
0,191 |
0,123 |
19,017 |
7,817 |
|
4 (2-1) |
0,25 |
800 |
0,088 |
0,056 |
19,015 |
7,817 |
|
5 (1-3) |
0,25 |
850 |
0,083 |
0,053 |
18,244 |
7,472 |
|
6 (3-4) |
0,175 |
700 |
0,029 |
0,019 |
11,940 |
4,995 |
|
7 (Б-1) |
0,3 |
650 |
0,001 |
0,000 |
0,001 |
0,000 |
|
8 (3-2) |
0,25 |
1200 |
0,014 |
0,010 |
0,772 |
0,344 |
|
9 (5-4) |
0,3 |
600 |
0,008 |
0,005 |
0,047 |
0,020 |
|
∑ |
89,434 |
36,907 | ||||
