Расчет системы водоснабженияРефераты >> Строительство >> Расчет системы водоснабжения
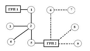
Диаметры труб участков сети выбираются с помощью номограммы, исходя из найденного оптимального pi , а также Li , и расхода газа Vi
|
Участок |
Длина, м |
Расход, м3/ч |
Удельные потери, Па/м |
Диаметр стандартный, м |
|
1 – ГРП1 |
900 | |||
|
1 - 2 |
900 | |||
|
2 - 3 |
1000 | |||
|
2 - 4 |
550 | |||
|
2 - 5 |
750 | |||
|
5 – ГРП2 |
500 | |||
|
6 – ГРП2 |
250 | |||
|
6 - 7 |
400 | |||
|
6 - 8 |
150 | |||
|
9 – ГРП 2 |
250 |
