Проектирование комплексного гидроузла
Водосливная грань плотины сопрягается с нижним бьефом с помощью водобойного колодца, глубина которого
и длина
. За водобойным колодцем устанавливаем рисберму, после которой вода попадает в канал, соединяющий её с рекой.
Бетонная плотина смыкается с телом грунтовой плотины при помощи подпорных стенок. Для обеспечения устойчивости стенок на сдвиг устраиваем фундаментную подушку в сторону берега. Конструируем подпорные стенки из железобетона.
4. Конструирование плоского затвора
Из всего многообразия видов поверхностных затворов выбираем плоские затворы, которые представляют собой плоскую ригельную конструкцию, поступательно перемещающуюся в пазах на скользящих или колесных опорах и передающую давление воды на быки. Воду пропускают с одной стороны от подвижной конструкции – из – под затвора. Плоскими затворами перекрывают отверстия пролетом до 30 – 40 м при напоре до 12 –15 м.
4.1 Описание конструкций затвора
У небольших плоских затворов, устанавливаемых на сетевых сооружениях и в составе затворов мостовых и с поворотными фермами, пролетные строения выполняют по типовым проектам из стального 6‑мм листа с подкреплением уголками и полосами и из шпунтованных досок на шпонках. Специальных уплотнений и опорно-ходовых частей эти затворы не имеют. У крупных затворов пролетные строения содержат более или менее явно выраженные элементы: ригели, обшивку, балочную клетку, диафрагмы, опорно-концевые стойки, подъемно – весовые фермы.
Ригели работают как статически определимые двухопорные балки. Высота их определяется: 1) допустимым относительным прогибом в пролете (1/1000 для затворов с верхним горизонтальным уплотнением, 1/600 для прочих основных затворов, 1/500 для аварийных, 1/400 для ремонтных затворов); 2) допустимыми нормальными напряжениями от изгиба в поясах ригелей посередине пролета; 3) допустимыми касательными напряжениями от перерезывающих сил в стенках ригелей у опор. У большепролетных поверхностных затворов высота ригелей лимитируется чаще всего первым условием и составляет 1/7 – 1/9 пролета. У опор она может быть уменьшена на 40 – 60% с ориентацией на третье условие.
Ригели конструируют по общим правилам проектирования металлических конструкций. В последнее время предпочитают сплошноступенчатые ригели и ригели из прокатных профилей. Они технологичнее, обеспечивают высокую живучесть при случайных повреждениях, большую устойчивость и выносливость конструкции, их легче очищать и защищать от коррозии. Ригели – фермы применяют лишь для поверхностных затворов очень большого пролета (более 20 м). В сплошноступенчатых конструкциях обязательно устройство отверстий в стенках для стока воды.
Основное правило расположения ригелей по высоте – их равнонагруженность. В связи с этим у поверхностных затворов (имеющих обычно два ригеля) их располагают в нижней части на равном расстоянии от точки приложения равнодействующей сил давления воды. У низконапорных глубинных затворов неравномерность расстановки ригелей менее заметна. У средне- и высоконапорных глубинных затворов ригели расставляют равномерно. Расстояние между их растянутыми поясами принимают не менее 450 – 500 мм из условия возможности ведения сварки, очистки и окраски.
Обшивку поверхностных затворов выполняют из листовой стали толщиной 8 – 20 мм, глубинных – 10 – 60 мм. При шаге ригелей более 50 – 60 мм толщин обшивки ее подкрепляют балочной клеткой из стоек и обрешетин, передающих нагрузку на ригели и обеспечивающих устойчивость обшивки. Обычно необходимость в таком подкреплении возникает у поверхностных затворов. Стойки могут быть разрезными на ригелях или неразрезными.
4.2 Расчетно-графическая схема
Высота перекрываемого отверстия
м, тогда высота затвора принимается с учетом сухого запаса
м,
м, а ширина перекрываемого отверстия ℓ = 3,0 м. Расчетный пролет затвора определяется как L= ℓ + (0,2…0,25) = 3,0+ 0,2 = 3,2 м.
Принимаем двухригельный колесный металлический затвор как наиболее экономичный и широко распространенный из-за простоты конструкции, точности передачи давления воды на опорно-ходовые части и легкости изготовления. В двухригельных затворах ригели располагаем на равных расстояниях от направления равнодействующей гидростатического давления. При соблюдении этого условия ригели получаются одинакового сечения.
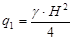
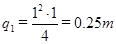
Расчет ригелей ведём на равномерно распределённую нагрузку на 1 м длины при учете силы гидростатического давления воды и силы собственного веса ригеля по формуле:
, т
где Н – напор воды, Н = 1 м;
– удельный вес воды принимаем равной 1т;
q1 – равномерно распределенная нагрузка на 1 м длины.
Для ригелей используем прокатные профили двутаврового сечения. Принимаем предварительно двутавр №12. По таблице сортамента прокатных профилей определяем параметры двутавра: площадь поперечного сечения
; вес 1 п. м
; момент сопротивления
; момент инерции
; толщина стенки
.
Собственный вес 1 п. м ригеля
.
Отсюда можно определить суммарную нагрузку:
.
Максимальный изгибающий момент:
,
где
- расчётный пролёт затвора.
Высоту ригеля определим по формуле:
,
где
т/м2 – расчетное напряжение для стали.
Получаем высоту ригеля:
,
что соответствует предварительно принятой высоте ригеля из двутавра №12.
Далее подобранное сечение ригеля проверяем на прогиб. Прогиб ригеля определяем по формуле:
,
где
- сопротивление прогибу.
.
.
