Способы обработки горных пород
Показателем динамического зондирования принято называть число ударов молота, необходимое для погружения зонда на определенную глубину. В нашей стране эта глубина принята равной 10 см. Отсюда показатель динамического зондирования равен
N = 10n / S ,
где n — число ударов в залоге; S — глубина погружения зонда от принятого числа ударов молота в залоге.
Показатель динамического зондирования зависит не только от сопротивления, оказываемого горными породами проникновению зонда, но и от сил трения, развивающихся по боковой поверхности зонда при его погружении, и от увеличения его веса с глубиной. Поэтому при обработке результатов испытаний вводят соответствующие поправки на боковое трение пород и на увеличение веса зонда. Эти поправки приводятся в методических руководствах.
Основным показателем свойств горных пород при динамическом зондировании считается условное динамическое сопротивление горных пород Rд. Только этот показатель предлагается ГОСТ 19912—74 и «Указаниями по зондированию горных пород для строительства» (СН 448—72). Его вычисляют по формуле
Rд = KП0Фn / S ,
где K — коэффициент для учета потерь энергии при ударе, определяемый по специальной таблице; П0 — коэффициент для учета влияния применяемого оборудования, определяемый по специальной таблице; Ф — коэффициент для учета трения штанг о горные породы, определяемый по данным двух испытаний, в одном из которых зондирование производится в процессе бурения; n — число ударов в залоге; S — глубина погружения зонда от принятого числа ударов молота в залоге.
Для статического и динамического зондирования применяют разнообразные установки и станки. Наиболее часто используют установки конструкции ГПИ Фундаментпроект марки С-979, БашНИИ-промстроя марки С-832 и ВСЕГИНГЕО марки СПК. Известны установки конструкции и других организаций.
Пористость горных пород
Пористость горных пород, совокупность пустот (пор), заключённых в горных породах. Количественно П. г. п. выражается отношением объёма всех пор к общему объёму горных пород (в долях единицы или процентах). Поры в горных породах по величине принято делить на субкапиллярные (менее 0,2 мк), капиллярные (0,2—100 мк), сверхкапиллярные (более 100 мк).
По форме поры могут быть различного типа — пузырчатые, каналовидные, щелевидные, ветвистые и т.п. Форма и размер отдельных пор и их взаимная связь определяют геометрию порового пространства пород.
Различают П. г. п. общую (или абсолютную, физическую, полную) — совокупность всех пор, заключённых в горных породах; открытую (насыщения) — объём связанных (сообщающихся) между собой пор; закрытую — совокупность замкнутых, взаимно не сообщающихся пор. В нефтяной геологии выделяют также эффективную П. г. п., т. е. совокупность пор, занятых нефтью, газом, и динамическую П. г. п. — объём пор, через которые при определённых давлении и температуре происходит движение насыщающих жидкостей или газов; она всегда меньше общей П. г. п.
Наиболее высокая П. г. п. свойственна почвам и рыхлым осадкам — пескам, глинам и др. (до 60—80% и более). Осадочные и вулканогенные горные породы (песчаники, известняки, лавы, туфы и др.) характеризуются большим диапазоном значений пористости (от 50 до 10% и менее). Магматические и метаморфические породы обладают, как правило, малой пористостью (0,1—3%). С возрастанием глубины залегания пород П. г. п. обычно уменьшается (особенно осадочных) и на больших глубинах может иметь очень малые значения.
В лабораторных условиях П. г. п. определяется методами свободного, вакуумного (под вакуумом) и принудительного (под давлением) насыщения горных пород жидкостью, а также методами, основанными на расширении газа, и др. В полевых условиях для оценки величины П. г. п. используются различные виды каротажа скважин. Результаты изучения П. г. п. используются для подсчёта запасов полезных ископаемых (например, нефти и газа), выборе технологии разработки полезных ископаемых и др.
Проницаемость пород и ее распределение
Характер движения нефти или газа к забою добывающей скважины определяется двумя основными факторами: физико-химическими свойствами этих углеводородов; структурой порового пространства среды – коллектора, в которой они распространяются.
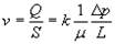
Для описания течения углеводородов с учетом этих факторов, наряду с другими характеристиками, вводится понятие проницаемости горной породы, характеризующей ее способность пропускать жидкости и газы. Для оценки проницаемости пород обычно пользуются законом фильтрации Дарси, согласно которому скорость фильтрации (просачивания) жидкости в среде пропорциональна градиенту давления и обратно пропорциональна ее динамической вязкости :
Перепишем эту формулу в скалярной форме для одномерной задачи. Для этого выделим образец породы длиной , и предположим, что ее фильтрационные свойства одинаковы по всей длине. Тогда имеем
, (1.1)
где - скорость линейной (плоскопараллельной) фильтрации, - объемный расход жидкости в единицу времени, - площадь фильтрации, - перепад давления на выделенном участке пористой среды. Коэффициент пропорциональности в (1.1) называется коэффициентом проницаемости:
. (1.2)
Величина имеет размерность площади, и в системе СИ измеряется в :
.
Совокупность результатов, приведенных в [1] для проницаемостей пород, приводятся в табл. 1. Здесь еще раз отметим, что данные, приведенные в этой таблице, выбраны в качестве объекта для анализа из-за важности рассматриваемой характеристики. В силу специфики представления материала, в [1] отсутствует ссылка на первоисточники этой таблицы. Не понятно также, являются ли эти результаты обобщением различных данных, полученных разными авторами, или же они относятся к конкретному месторождению. В последнем случае, общие рассуждения, которые приводятся ниже, могли бы представлять некоторый практический интерес. Перейдем теперь к описанию характеристик, приведенных в табл. 1:
i – номера интервалов, на которые разбивается весь наблюдаемый диапазон значений проницаемостей. Число таких интервалов в табл. 1 равно 10.
Ni – число пород, проницаемости которых лежат в i - том интервале. Общее число исследованных пород составляет
.
pi – относительное число пород, проницаемости которых попадают в i- тый интервал:
, величина
равна относительной доле образцов с выделенной проницаемостью. На языке математической статистики
есть вероятность того, что проницаемость одной случайно выбранной породы из тысячи, попадет в интервал проницаемостей шириной
.
