Нефть в пластовых условиях
Заниженные значения величины давления насыщения объясняются также наличием азота в газе. Азот плохо растворяется в нефтях, и присутствие его даже в незначительных количествах заметно увеличивает величину давления насыщения. При внесении соответствующей поправки на наличие в газе азота величина давления насыщения, рассчитанная по графикам, будет ближе к определенной по глубинным пробам.
Приведем в качестве примера следующий расчет. По лабораторным исследованиям пробы пластовой нефти, отобранной из скв. 10 Ромашкинского месторождения, давление насыщения составляет 8,4 МПа, а по графику на рис. 1 оно определено в 6,5 МПа.
Газовый фактор пластовой нефти 47,5 м3/м3, причем газ содержит 6% азота. Количество растворенного в нефти азота равно А = 47,5×0,06 = 2,85 м3/м3. При величине коэффициента растворимости азота в нефти αл=1,2 (м3/м3) МПа и среднем значении коэффициента растворимости газа Ромашкинского месторождения в нефти αг=6,0 (м3/м3)/МПа поправка к величине давления насыщения будет выражаться величиной
Следовательно, с учетом поправки давление насыщения равно 6,5+1,9 = 8,4 МПа, т.е. совпадает с получением при анализе проб пластовой нефти. Таким образом, при наличии в растворенном газе азота следует вводить поправку по приведенной методике.
Сжимаемость нефти – при увеличении давления нефть сжимается. Для большинства пластовых нефтей коэффициенты сжимаемости βН колеблются в пределах (0,6–0,8)∙10-3 1/МПа; среднее значение коэффициента сжимаемости нефти составляет приблизительно 1∙10-3 1/МПа.
Величину βн можно определять пересчетом величин объемных коэффициентов, определенных в лаборатории, по формуле
где Δр – перепад между начальным р1 и конечным р2 (принятыми для расчета) давлениями, Δр = р1–р2; b1 и b2 – объемные коэффициенты соответственно для начального и конечного давлений.
Для газированной нефти коэффициент сжимаемости значительно возрастает, достигая иногда 140∙10-4 1/МПа.
Точное значение βН можно получить путем лабораторного анализа пластовой пробы нефти.
Объемный коэффициент пластовой нефти – как уже указывалось, пластовая нефть отличается содержанием в ней значительного количества растворенного газа. Наличие растворенного газа резко влияет на ее свойства: увеличивается ее объем (иногда на 50–60%), снижается плотность, значительно уменьшается вязкость, изменяется также поверхностное натяжение на различных границах раздела.
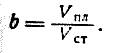
Объемным коэффициентом пластовой нефти b называют отношение объема пластовой нефти Vпл к объему получаемой из нее сепарированной нефти Vcт при стандартных условиях:
Объемный коэффициент пластовой нефти показывает, какой объем в пластовых условиях занимает 1 м3 сепарированной нефти, взятой при стандартных условиях.
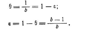
Величина, обратная объемному коэффициенту пластовой нефти, представляет собой так называемый пересчетный коэффициент θ:
Пересчетный коэффициент θ служит для приведения объема пластовой нефти к объему сепарированной нефти (при стандартных условиях). При извлечении нефти на поверхность и выделении из нее газа происходит уменьшение объема – усадка нефти.
Коэффициент усадки (ε) равен
Между указанными выше коэффициентами b, θ и ε существуют следующие зависимости:
Рис. 2. Определение величины коэффициента усадки нефти (ε) при ее дегазации
Определение коэффициента усадки и пересчетного коэффициента имеет большое значение, особенно при подсчете запасов нефти, так как коэффициент усадки нередко достигает 40% и неучет его может привести к значительным погрешностям.
Объемный коэффициент пластовой нефти лучше всего определять путем анализа ее проб. Приближенно этот коэффициент может быть установлен следующим образом. Сначала по графику определяют усадку нефти в процентах (рис. 2), а затем вычисляют b и θ.
На рис. 3 показана зависимость величины объемного коэффициента от давления насыщения для некоторых месторождений. На рис. 4 приведены значения растворимости газа в нефти и объемного коэффициента пластовой нефти в функции давления.
Рис. 3. Зависимость объемного коэффициента пластовой нефти от давления насыщения.
1 – Туймазы (девон); 2 – Соколова Гора (девон); 3 – Каратон (неоком)
Рис. 4. Параметры b и N в функции давления
Объемный коэффициент пластовой нефти может быть определен расчетным путем по фракционному составу газа или по данным плотности газа.
Однако для полной и более точной характеристики пластовой нефти следует производить отбор и исследование глубинных пластовых проб нефти.
Проектируя отбор проб с целью охарактеризовать средние свойства пластовой нефти, необходимо учитывать, что при значительном изменении давления и температуры в пласте свойства нефти повышенных участков нефтяной залежи будут отличаться от свойств нефти пониженных участков. Разница свойств нефти еще заметнее, если залежь расчленена на отдельные блоки. Поэтому пробы нефти отбирают по всем указанным характерным участкам залежи.
Кроме того, следует избегать отбора глубинных проб из скважин, дающих нефть с водой, а также из скважин, эксплуатировавшихся перед отбором пробы при низком забойном давлении, которое могло быть ниже давления насыщения. Если давление в скважине ниже давления насыщения, то отобрать полноценную пробу, правильно характеризующую пластовые условия, чрезвычайно трудно.
Перед отбором глубинной пробы скважину исследуют при различных режимах работы и замеряют пластовое давление. Пробу отбирают при минимальном дебите, т.е. при более высоком забойном давлении.
Перед спуском пробоотборника фонтанные трубы очищают от парафина и шаблонируют.
Пробоотборник спускают в фонтанирующую скважину через специальный сальник, причем первые 50–100 м скорость спуска пробоотборника не должна превышать 0,5 м/с. Пробоотборник спускают до глубины, соответствующей средним отверстиям фильтра, и оставляют там на 15–20 мин, чтобы выходящая из пласта нефть промыла внутреннюю полость пробоотборника, после чего клапаны закрывают и пробоотборник поднимают.
4. Нефтенасыщенность пласта
Многочисленные анализы образцов нефтяных коллекторов, произведенные различными исследователями, подтвердили давно существующее среди геологов мнение о том, что поры коллекторов в нефтяной части пласта не полностью бывают заполнены нефтью. В них наряду с нефтью встречается также и вода. Кроме того, отдельные части (повышенные) коллекторов нередко бывают заполнены и газом.
