Применение горизонтальных скважин для повышения эффективности разработки месторождений на примере 302-303 залежей Ромашкинского месторождения НГДУ ЛН
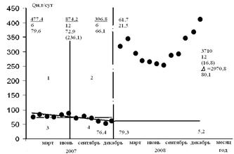
В координатах «месячная добыча нефти – календарное время» за нулевой отсчет времени принимаем месяц (01.2007) на год раньше месяца введения горизонтальных скважин из бурения (01.2008), т.е. в качестве ближней предыстории берем 12 месяцев. На график (рис. 11) наносим точки месячной добычи из указанной скважины по месяцам до и после ввода скважины в эксплуатацию. Проводим вертикальную прямую точку (01.2008), которая делит время на две части (до и после ввода скважины в эксплуатацию).
Рис. 11. Определение технологической эффективности ГС №6 «прямым» счетом
Далее по эксплуатационным карточкам добывающей скважины определяем добычу нефти за 12 месяцев предыстории (874,2 т) и среднемесячную добычу в этот период (72,9 т). Последнюю величину откладываем на графике в виде горизонтальной прямой до пересечения с месяцем ввода скважин в эксплуатацию (01.2008). Затем период предыстории делим на две равные части вертикальным отрезком прямой. Таким образом, период предыстории превратился в квадратную диаграмму, на которой в первом квадрате оказалось 6 точек, во втором квадрате – ни одной точки, в третьем квадрате- 1 точка и в четвертом- 5 точек. Отсюда коэффициент ассоциации Юла равен:
Далее определяем количественные показатели тренда. Для этого по эксплуатационным карточкам определяем добычу нефти за первые 6 месяцев (477,4 т) и вторые 6 месяцев (396,8 т) предыстории. Отсюда вычисляем среднемесячную добычу за первую половину (79,6 т) и вторую половину предыстории (66,1 т). Через последние две точки и центр квадратной диаграммы проводим наклонную прямую до пересечения границы предыстории и истории (01.2008 – дата ввода скважин в эксплуатацию). В этой точке пересечения определяем базовую среднемесячную добычу нефти (61,7 т) и из нее проводим горизонтальную прямую (параллельную оси времени) на весь период истории (последствия). Таким образом, считаем, что падение добычи нефти происходит только в период предыстории, а в период после воздействия базовая добыча нефти является постоянной, не падающей, что, естественно, занижает технологический эффект.
По количеству и положению точек после начала воздействия относительно горизонтальной базовой прямой наглядно выявляется качественный эффект (все 12 из 12 точек расположены выше базовой горизонтали) и его динамика. Для количественной оценки эффективности бурения горизонтальных скважин по эксплуатационным карточкам определяем суммарную добычу нефти после ввода скважин в эксплуатацию на дату анализа (с 1.01.2008 по 1.01.2009 гг.). Она оказалась равной 3710,0 т. Отсюда среднемесячная добыча нефти после воздействия оказалась равной 309,2 т, или на 402% больше базовой (61,7 т).
Вычитая из среднемесячной добычи нефти после воздействия (309,2 т) базовую среднемесячную добычу нефти (61,7 т) и умножая полученную разность на число месяцев, получаем величину дополнительно добытой нефти (2970,8 т), ее долю по отношению ко всей добыче нефти после воздействия (80,1%).
Зная среднемесячную добычу воды в период предыстории и истории (цифры в скобках на рис. 11), можно определить фактическую среднемесячную обводненность в эти два периода времени (76,4 и 5,2%), а также, используя расчетную базовую добычу нефти (739,9 т) и среднемесячную добычу воды в период предыстории (236,1 т) и истории (16,8 т), сопоставить с расчетной базовой средней обводненностью, равной 79,3 и 21,5%.
Скважина №7
Показатели работы скважины №7 приведены в табл. 16
Таблица 16. Показатели работы скважины №7
|
Предыстория |
История | ||||
|
Дата |
Добыча за месяц, т |
Дата |
Добыча за месяц, т | ||
|
нефть |
вода |
нефть |
вода | ||
|
01.2007 |
114,7 |
213,0 |
01.2008 |
319,3 |
20,4 |
|
02.2007 |
117,8 |
262,2 |
02.2008 |
291,4 |
15,3 |
|
03.2007 |
111,6 |
395,7 |
03.2008 |
306,9 |
19,6 |
|
04.2007 |
111,6 |
395,7 |
04.2008 |
291,4 |
18,6 |
|
05.2007 |
105,4 |
195,7 |
05.2008 |
303,8 |
22,9 |
|
06.2007 |
117,8 |
176,7 |
06.2008 |
300,7 |
26,1 |
|
07.2007 |
99,2 |
155,2 |
07.2008 |
297,6 |
15,7 |
|
08.2007 |
105,4 |
245,9 |
08.2008 |
279 |
41,7 |
|
09.2007 |
99,2 |
176,4 |
09.2008 |
260,4 |
46,0 |
|
10.2007 |
108,5 |
201,5 |
10.2008 |
235,6 |
101,0 |
|
11.2007 |
105,4 |
234,6 |
11.2008 |
238,7 |
83,9 |
|
12.2007 |
111,6 |
260,4 |
12.2008 |
220,1 |
113,4 |
