Проверочный расчет КБТ при бурении с частичной нагрузкой
Nб = 2,221 + 0,63 = 2,851кВт = 2,851·103 Вт;
Mкр = 2,851·103/20,9= 136,41 Н·м;
Полярный момент сопротивления площади поперечного сечения гладкой части БТ кручению, Wр, м3 определяется по формуле
WР =2 Wо
WР =2·4,96·10-6 = 9,92·10-6 м3;
= 136,41/(9,92·10-6) = 13751157,59 Па = 13,75 МПа;
Затем рассчитывается суммарное напряжение, действующее на КБТ устье скважины при дополнительной нагрузке
[Т]
=86042959,62Па =86,04 МПа 539 МПа ;
и определяется коэффициент запаса прочности
n =
n =539/(86,04·1,5)=4,17>1,6
[Т]=539·106 Па – предел текучести материала БТ для Стали марки 38ХНМ. [1]
Из расчетов видно, что коэффициент запаса прочности больше допустимого, и тип выбранных труб удовлетворяет условиям задания.
Участок 2 – 2 (забой скважины)
На участке 2 – 2 (забой скважины) КБТ испытывает напряжения сжатия и изгиба (максимальное значение), кручения (минимальное значение).
Напряжение сжатия определяется по формуле
сж =
,
где C – осевая нагрузка на забой, Н; F – площадь сечения гладкой части БТ, м2, которая определяется по таблице.
сж =6000/5,8·10-4 = 10344827,59 Па =10,34 МПа;
Напряжение изгиба, возникающее в трубах при работе КБТ в скважине, определяется по формулам
из= из'+из'', из'
где f – стрела прогиба труб берем из участка 1-1 (устье скважины) f=0,0038 м;
Длина полуволны прогиба бурильных труб зависит от расстояния интервала расчета от «нулевого» сечения
Lп=
м
Для сечения 2 – 2 (забой скважины) Z2 = Zо-о=159,27 м.
Осевой момент сопротивления изгибу Wо, м3 в расчетном сечении БТ равен Wо = 4,96·10-6 м3. Угловая скорость вращения БТ 20,9 с.
Lп=
=11,17 м;
из'=
=1295593,15 Па =1,29 МПа;
из= из'= 1295593,15 Па =1,29 МПа;
Касательное напряжение кручения зависит от крутящего момента, передаваемого на КБТ, и определяется по формуле
=
, Па
Крутящий момент определяется по формуле
Mкр =
, Н·м
Мощность (Nб) определяется по формуле
Nб = 1,5 Nзаб=1,5·0,63=0,945 кВт = 0,945·103 Вт;
Мощность на разрушение забоя скважины берем из участка 1-1 (устье скважины) Nзаб =0,63·103 Вт;
Mкр = 0,945·103 / 20,9 = 45,21 Н·м;
Полярный момент сопротивления площади поперечного сечения гладкой части БТ кручению, Wр= 9,92·10-6 м3.
=45,21/ 9,92·10-6 =4557459,67 Па = 4,55 МПа;
Суммарное напряжение, действующее на КБТ
[Т]
=14,77 МПа 539МПа ;
n =
n = 539/(14,77·1,5)= 24,33 > 1,6
[Т]=539·106 Па – предел текучести материала БТ для Стали марки 38ХНМ. [1]
Из расчетов видно, что коэффициент запаса прочности больше допустимого, и тип выбранных труб удовлетворяет условиям задания.
Расчет КБТ в «нулевом» сечении
В «нулевом» сечении КБТ работает в более сложных условиях, так как здесь возможно возникновение знакопеременных и динамических нагрузок за счет действия инерционных сил, и расчет ведется на выносливость.
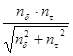
Коэффициент запаса прочности в «нулевом» сечении КБТ равен
n∑
≥
где n– коэффициент запаса прочности по нормальным напряжениям; n–коэффициент запаса прочности по касательным напряжениям.
Коэффициент запаса прочности по нормальным напряжениям (при рсж =0) равен
n =
>1,3
где – предел выносливости материала бурильной трубы при изгибе ( = 81 МПа) [1]; Кп = 1,5 – коэффициент, учитывающий ударный характер нагрузок.
n =
=35,29
Коэффициент запаса прочности по касательным напряжениям при (Мкр= const) определяется выражением
n =
>1,3
Таким же образом производится расчет участков КБТ, расположенных в интервале от «нулевого» сечения к забою на расстоянии до 1/3 Z o-o.
Изгибающие напряжения, вызванные потерей КБТ устойчивости от действия центробежных сил при ее вращении, определяются по формуле
из'
Длина полуволны прогиба КБТ равна
Ln=
м
Ln=
= 10,25 м
Осевой момент сопротивления изгибу Wo =1,42·10 м3.
Угловая скорость вращения БТ 41,87 с.
из'
=1538605,42 Па=1,53 МПа
Напряжение изгиба от искривления траектории скважины σиз'' не учитывается т.к. интенсивность ее искривления менее 0,04º/м.
Напряжение изгиба равно
из= из'=1,53 МПа
Крутящий момент
Mкр =
, Н·м
Касательное напряжение кручения КБТ
Затраты мощности на вращение КБТ
Nб.т = 1,1·1·1 ·[1,6·10-8 ·1,18·1· (0,2+0,9)·(0,9+0,02·3,8)·(1+0,44·0,99)·0,303 ·50,6·(1+1,3·10-2·3,8) 2001,85·159,270,75+2·10-8 ·3,8·200·6000] =0,51 кВт = 0,51·103Вт
(в которой вместо глубины скважины принимается расстояние от забоя скважины до нулевого сечения L=Zo-o).
Мощность на разрушение забоя скважины берем из участка 1-1 (устье скважины) Nзаб =0,63·103 Вт;
Мощность, расходуемая на бурение
Nб=0,51+0,63= 1,14 кВт.
Полярный момент сопротивления площади поперечного сечения гладкой части БТ кручению, Wр= 9,92·10-6 м3.
