Просадочность
Лессовый карст зарегистрирован во многих лессовых областях: на Северном Кавказе, в Средней Азии, на Украине и в некоторых других районах.
Псевдокарстовая зона обычно располагается вдоль депрессий на расстоянии от 20 до 50м. Наибольшая зарегистрированная ширина этой зоны - 160м. Все разнообразие форм лессового псевдокарста можно разделить на три группы: поверхностные, глубинные и скрытые.
К поверхностным формам относится различные воронки и прогибы Воронки обычно имеют округлую форму. Их диаметр редко превышает 3-5м при глубине 2-4м. Нередко они располагаются по хорошо фиксируемым линиям. Иногда отмечаются случаи формирования вдоль них карстово-эрозионных оврагов. По происхождению воронки могут быть суффозионно-эрозионными и провальными. Последние образуются при провалах поверхности над глубинными пеевдокарстовыми формами. Иногда могут встречаться более крупные замкнутые депрессии, образующиеся в результате прогиба поверхности над глубинными формами псевдокарста.
Глубинные формы - карстовый -грубы, колодцы и шахты отличаются своими размерами (от долей метра до 1-2м). К этому типу относятся также поноры, берущие начало в донных частях воронок, гидромелиоративных каналов, подземные трубы и каналы. Вдоль этих подземных форм развиваются пещеры. Они могут встречаться как внутри лессовых массивов, так и на краевых уступах рельефа (обрывах, откосах искусственных выемок и т.д.). Высота пещер колеблется от 0,5 до 4м, протяженность их невелика и не превосходит 3-бм.
Исследования лессового псевдокарста на Северном Кавказе показали, что он формируется в лессовых породах, обладающих зернисто-пленчатой структурой, высокой активной пористостью (более15-18%) и естественной влажностью менее 15%. В лессовых породах с агрегативной структурой псевдокарстовые процессы обычно не развиваются.
Особенно интенсивно идет развитие псевдокарста в тех случаях, когда лессовая толща подстилается хорошо фильтрующимися породами (крупнозернистыми песками, галечниками, песчано-гравийными породами). Такое строение лессовых массивов особенно характерно для Средней Азии.
Установлена зависимость формы псевдокарста от глубины базиса эрозии. Если она значительна, то могут образовываться колодцы и шахты.
В Киргизии в районе Южного Большого Чуйского канала карст распространен в лессовых пролювиальных конусах и массивах лесса вдоль канала. Встречаются все основные карстовые проявления. Высота пещер в этом районе достигает 2-Зм. Они имеют неправильные очертания и обычно вытянуты вдоль вертикальной оси. Развиты многочисленные скрытые подземные полости и трубы, выходящие в бортах эрозионных врезов. Глубина развития псевдокарста колеблется от 0,5 до 20м.
При вскрытии строительных котлованов в районе г.Красноярска обнаружены в лессовых толщах закрытые псевдокарстовые формы на глубинах от 1 до 9м. Размеры этих полостей колебались от нескольких сантиметров до 1м и более. Предполагается, что их образование связано с вытаиванием различных по форме ледяных тел.
Одним из достаточно серьезных факторов влияющих на активное развитие суффозионных процессов является постоянное и значительное просачивание воды и водных растворов различных соединений (удобрения, пестициды) из ирригационных каналов в зонах развития благоприятных для этого процесса циклически построенных толщ лессов. В особенности, когда в разрезе залегают несколько горизонтов крупнозернистых песков или галечников. Как указывалось выше, такие разрезы лессовых массивов характерны для южных предгорньх районов развития лессов. На этих же территориях, в основном, расположены старые, глубоко врезанные ирригационные каналы. Их днище порой расположено ниже основной поверхности лессовых массивов на 10-15м, что еще более усиливает суффозионные процессы.
Суффозия - очень сложный процесс, который до настоящего времени остается недостаточно изученным. Обычно его развитие предполагается в лессах со значительным содержанием легкорастворимых в воде солей и минералов. В то же время отмечены многочисленные случаи когда суффозионные и просадочные явления интенсивно развивались в лессовых породах с весьма незначительным содержанием таких солей и минералов. Следовательно, необходимо привлекать другие механизмы для объяснения таких явлений. Наиболее вероятен или в значительной мере доминирует механизм разрушения глобулярной структуры лессов и вынос мелких частиц водным потоком.
Постоянная или периодическая утечка воды из каналов насыщает грунт водой уменьшая его прочностные свойства и активизирует развитие псевдокарста, который в свою очередь может спровоцировать активизацию таких процессов как обвалы и оползни. Описан случай, когда строительство траншеи и автодороги вдоль бровки берега водохранилища на лессовых грунтах; спровоцировало образование оползня объемом 1,3млн.м.
2. Характеристики просадочных грунтов
Просадочные грунты широко распространены в Южной и Северной Америке, Новой Зеландии, Северной Африке, Средней Азии, в Европе и Азии. На Украине они занимают свыше 70 % территории. На Северном Кавказе и Закавказье просадочные грунты встречаются в районах земледелия, промышленного и гражданского строительства. Распространены они на территории ЦЧР.
Характерными внешними признаками лессовых и лессовидных пород являются : видимая невооруженным глазом пористость, обусловленная наличием тонких, более или менее вертикальных канальцев; способностью держаться вертикальными обрывами значительной высоты; быстрая размокаемость в воде; отсутствие мелкой слоистости; светлая окраска в
сухом состоянии; наличие ходов мелких животных (кротовин); большие неравномерные деформации (просадки) при увлажнении под действием веса здания или только от действия собственного веса; существенное изменение физико-механических свойств под влиянием влаги и напряженного состояния.
Отличается высокая изменчивость основных характеристик просадочности : относительной просадочности εsl и начального
просадочного давления рsl.
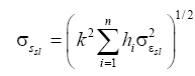
Среднее квадратичное отклонение просадки от собственного веса
(1.1)
где σεsl – среднее квадратичное отклонение εsl .
Осреднение εsl и рsl выполняется двумя способами. Первый заключается в осреднении опытных значений в пределах выделенных на площадке ИГЭ. По второму способу по всем техническим скважинам вычисляется средняя зависимость εsl = f (n) для разных нагрузок, а также средняя зависимость psl = f (n) .
Под действием нагрузки и замачивания наблюдаются вертикальные деформации провального характера, связанные с коренным нарушением структуры. Абсолютные величины просадок часто превышают предельно допустимые. Замачивание, как правило, не равномерно на площади. По этой причине возникают значительные неравномерные деформации. Замачивание грунта приводит к изменению напряженного состояния в массиве грунтов. Происходит это вследствие [34]: увеличения влажности при аварийном
замачивании; уплотнения грунтов при ликвидации их просадочных свойств; устройства обратных засыпок котлованов (в двух последних случаях плотность грунта в сухом состоянии возрастает с 1,35 . 1,5 до 1,75 . 1,95 г/см3); применения фундаментов из
