Расчет параметров системы наблюдений в методе ОГТ
Для возбуждения волн применяют взрывные и ударные источники, которые требуют наблюдений с большой (48—96) кратностью перекрытий.
Обработка данных МОГТ на ЭВМ делится на ряд этапов, каждый из которых заканчивается выводом результатов для принятия решения интерпретатором 1) предварительная обработка; 2) определение оптимальных параметров и построение окончательного временного разреза; З) определение скоростной модели среды; 4) построение глубинного разреза.
Системы многократных перекрытий составляют в настоящее время основу полевых наблюдений (сбора данных) в МОВ и определяют развитие метода. Суммирование по ОГТ является одной из главных и эффективных процедур обработки, которые можно реализовать на базе этих систем. Метод ОГТ является основной модификацией МОВ при поисках и разведке нефтяных и газовых месторождений практически во всех сейсмогеологических условиях. Однако результатам суммирования по ОГТ свойственны некоторые ограничения. К ним относятся: а) существенное снижение частоты регистрации; б) ослабление свойства локальности МОВ за счет увеличения объема неоднородного пространства при больших удалениях от источника, характерных для метода ОГТ и необходимых для подавления многократных волн; в) наложение однократных отражений от близких границ вследствие свойственного им сближения осей синфазности при больших удалениях от источника; г) чувствительность к боковым волнам, мешающим прослеживанию целевых субгоризонтальных границ вследствие расположения основного максимума пространственной характеристики направленности суммирования в плоскости, перпендикулярной к базе суммирования (профилю).
Указанные ограничения в целом обусловливают тенденцию снижения разрешающей способности МОВ. Учитывая распространенность метода ОГТ, их следует учитывать в конкретных сейсмогеологических условиях.
1.2 Особенности годографа ОГТ.
Пусть плоская отражающая граница залегает под углом φ, а покрывающая толща характеризуется скоростью v = const (рис. 2). Обозначим глубину по нормали от центра систему наблюдений до границы раздела (расстояние OO’) через h0. Тогда глубина по нормали, проведенной к границе раздела из пункта взрыва, сдвинутого от центра О системы на расстояние –х/2,
|
Рис. 2. Схема способа ОГТ для наклонного залегания отражающей границы. |
h1=h0 – x∙sinφ/2 Подставив h1 в выражение годографа ОПВ отраженной волны, получим t(x)= или t(x)= Введем обозначение vОГТ=v/cosφ. Тогда уравнение запишется в следующем виде: t(x)= Из рассмотрения уравнения следует, что: |
1) годограф ОГТ однократно-отраженной волны для однородной покрывающей среды представляет собой гиперболу с минимумом в точке симметрии (точке ОГТ);
2) с увеличением угла наклона границы раздела крутизна годографа ОГТ и соответственно приращение времени уменьшаются;
3) форма годографа ОГТ не зависит от знака угла наклона границы раздела (эта особенность вытекает из принципа взаимности и является одним из главных свойств симметричной системы взрыв – прибор;
4) для данного t0 годограф ОГТ является функцией только одного параметра – vОГТ, который называется фиктивной скоростью.
Указанные особенности означают, что для аппроксимации наблюденного годографа ОГТ гиперболой необходимо подобрать удовлетворяющее данному t0 значение vОГТ, определяемое по формуле (vОГТ=v/cosφ). Это важное следствие позволяет легко реализовать поиск оси синфазности отраженной волны путем анализа сейсмограммы ОГТ по вееру гипербол, имеющих общее значение t0 и различные vОГТ.
1.3 Интерференционная система ОГТ
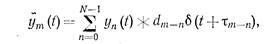
В интерференционных системах процедура фильтрации состоит в суммировании сейсмических трасс вдоль заданных линий τ(х) с весами, постоянными для каждой трассы. Обычно линии суммирования соответствуют форме годографов полезных волн. Взвешенное суммирование колебаний разных трасс yn(t) является частным случаем многоканальной фильтрации, когда операторы индивидуальных фильтров hn(t) представляют собой δ-функции с амплитудами, равными весовым коэффициентам dn:
(1)
где τm-n – разность времен суммирования колебаний на трассе m, к которой относят получаемый результат, и на трассе n.
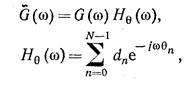
Соотношению (1) придадим более простую форму, учитывая, что результат не зависит от положения точки т и определяется временными сдвигами трасс τn относительно произвольного начала отсчета. Получим несложную формулу, описывающую общий алгоритм интерференционных систем,
(2)
Их разновидности отличаются характером изменения весовых коэффициентов dn и временных сдвигов τn: те и другие могут быть постоянными или переменными в пространстве, а последние, кроме того, могут изменяться и во времени.
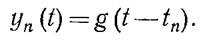
Пусть на сейсмических трассах регистрируется идеально регулярная волна g(t,x) с годографом вступления t(x)=tn:
Подставляя это в (2), получаем выражение, описывающее колебания на выходе интерференционных системы,
где θn=tn– τn.
Величины θn определяют отклонение годографа волны от заданной линии суммирования. Найдем спектр профильтрованных колебаний:
Если годограф регулярной волны совпадает с линией суммирования (θn≡0), то происходит синфазное сложение колебаний. Для этого случая, обозначаемого θ=0, имеем
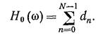
Интерференционные системы строят с целью усиления синфазно суммируемых волн. Для достижения такого результата необходимо, чтобы H0(ω) было максимальным значением модуля функции Hθ(ω).Чаще всего применяют одинарные интерференционные системы, имеющие для всех каналов равные веса, которые можно считать единичными: dn≡1. В таком случае
В заключение отметим, что суммирование неплоских волн можно осуществлять с помощью сейсмических источников путем введения соответствующих задержек в моменты возбуждения колебаний. На практике эти виды интерференционных систем реализуют в лабораторном варианте, вводя необходимые сдвиги в записи колебаний от отдельных источников. Сдвиги можно подбирать таким образом, чтобы фронт падающей волны имел форму, оптимальную с точки зрения повышения интенсивности волн, отраженных или дифрагированных от локальных участков сейсмогеологического разреза, представляющих особый интерес. Такая методика известна как фокусирование падающей волны.
