Пространственно-временная метрика, уравнения геодезических. Ньютоново приближениеРефераты >> Авиация и космонавтика >> Пространственно-временная метрика, уравнения геодезических. Ньютоново приближение
Содержание
1. ПРОСТРАНСТВЕННО-ВРЕМЕННАЯ МЕТРИКА
1.1 Скорость света
1.2 Шварцшильдовы координаты
1.3 Изотропные координаты
2. УРАВНЕНИЯ ГЕОДЕЗИЧЕСКИХ
2.1 Уравнение энергии
2.2 Шкалы времени
3. НЬЮТОНОВО ПРИБЛИЖЕНИЕ
1. ПРОСТРАНСТВЕННО-ВРЕМЕННАЯ МЕТРИКА
В четырехмерном римановом пространстве общее выражение для интервала
между двумя событиями выражается производными
следующим образом:
(1.1.1)
где
— свободные индексы (а не обозначения степеней), и, кроме того, принято обычное правило суммирования (повторяющийся свободный индекс предполагает суммирование по всем его значениям 0, 1,2, 3). Таким образом, выражение (1.1.1) представляет собой сумму 16 членов. Значения
— функции координат; они определяют собой метрику пространства.
В соответствии с общей теорией относительности эта метрика зависит от распределения материи; значения
удовлетворяют некоторым дифференциальным уравнениям в частных производных, известным как уравнения Эйнштейна. Такая метрика называется пространственно-временной.
Последовательность координат движущейся частицы описывает ее «мировую линию», в частности, мировая линия частицы, свободно перемещающейся в гравитационном поле, называется геодезической.
Для наших целей достаточно ограничиться рассмотрением статического сферически симметричного поля, создаваемого единственной изолированной массой. Отождествим
с пространственными координатами относительно центра симметрии, а
временной координатой, обозначив ее через t. Предположение о статичности поля подразумевает, что значения
не являются функциями t, а радиальный масштаб может быть определен как произвольная функция радиуса. Поскольку этот масштаб выбран, дифференциальные уравнения, описывающие геодезическую, заданы полностью.
Тем не менее остается свободным еще выбор пространства координат
что эквивалентно выбору геометрической проекции при построении двухмерных карт. Аткинсон [8] показал, что релятивистские свойства сферически симметричного поля можно строго описать в рамках трехмерного евклидова пространства, поскольку предположение о сферической симметрии подразумевает неизменность вида метрики при евклидовых преобразованиях пространственных координат.
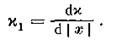
Принимая такую точку зрения, мы определяем евклидово пространство тремя взаимно ортогональными декартовыми осями с началом в центре симметрии; эта система координат описывает покоящуюся систему отсчета. Определим координатный вектор х и координатную скорость
как трехмерные евклидовы векторы, компоненты которых соответствен
Если
— единичный вектор в направлении х, то наиболее
общее выражение интервала
в случае статического сферически симметричного поля имеет вид
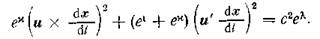
(1.1.2)
где
— константа,
— функции радиуса
(в этойформуле и далее все индексы — показатели степени).
Рассмотрим только так называемые временноподобные интервалы, для которых
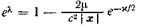
в этом случае т называется «собственным» временем. Аткинсон [9] показал, что уравнения Эйнштейна приводят к двум соотношениям между коэффициентами формулы (1.1.2), которые в наших обозначениях таковы:
(1.1.3)
(1.1.4) где
— другая константа, а также
Выбором
, как произвольной функции радиальной координаты, можно описать бесконечное число сферически симметричных метрик, удовлетворяющих уравнениям Эйнштейна. Единственное условие, которое должно быть при этом удовлетворено, заключается в том, что приниными словами, на бесконечном расстоянии
от начала координат выражение интервала принимает вид (1.1.5)
который задает плоскую метрику Минковского специальной теории относительности. Система отсчета, в которой метрика имеет вид (1.1.э), называется инерциальной или лорентцевой системой отсчета.
1.1 Скорость света
Мировая линия фотона, называемая нулевой геодезической, определяется так, что
всегда равно нулю. Уравнение (1.1.5) показывает, что на нулевой геодезической в бесконечном удалении от начала
т. е. координатная скорость света в «пустом» пространстве равна
, Однако в нашем евклидовом пространстве координатная скорость света не равна
. Приняв в
имеем
(1.1.6)
что эквивалентно
(1.1.7)
Скорость света в произвольной точке х зависит от радиальной координаты и направления. В радиальном направлении скорость задается формулой
