Пространственно-временная метрика, уравнения геодезических. Ньютоново приближениеРефераты >> Авиация и космонавтика >> Пространственно-временная метрика, уравнения геодезических. Ньютоново приближение
в то время как в тангенциальном направлении
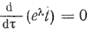
и, следовательно,
1.2 Шварцшильдовы координаты
Рассмотрим преобразование пространственных координат
где
всегда равно
.
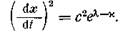
Дифференцируя это выражение и учитывая, что
получаем
откуда следует, что
и
Из формул
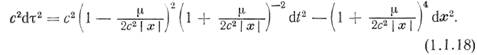
видно, что выражение (1.1.2) для интервала
преобразуется к виду
Где
Выражение
— векторная форма метрики в стандартных координатах Шварцшильда; соответствующую скалярную форму в сферических координатах, как строгое решение уравнений Эйнштейна, впервые получил в 1916 г. К. Шварцшильд.
Мы показали, что общее выражение (1.1.2) с помощью формул (1.1.3) и (1.1.4) может быть приведено к шварцшильдовой форме (1.1.12) путем чисто алгебраического преобразования соотношения (1.1.8). Таким образом, уравнения, выведенные с использованием метрики Шварцшильда, можно преобразовать к некоторой общей сферически симметричной метрике.
1.3 Изотропные координаты
Рассмотрим систему координат, определяемую формулой
В соответствии с (1.1.3), получаем
Дифференцируя (1.1.14) по
, находим
Следовательно, по (1.1.4) имеем
или
и выражение (1.1.2) для элемента
принимает вид
Это выражение известно как изотропная форма метрики Шварцшильда, поскольку, приняв в
, можно найти, что координатная
скорость света в точке х, задаваемая формулой
одинакова во всех направлениях.
2. УРАВНЕНИЯ ГЕОДЕЗИЧЕСКИХ
Можно показать (см. Приложение В), что уравнения, определяющие геодезические, выводятся из обычных уравнений Эйлера — Лагранжа, которые в координатах Шварцшильда имеют вид
где
— лагранжиан,
а точка сверху обозначает дифференцирование по
Уравнение (1.2.1) дает непосредственно
Или
где
— постоянная интегрирования.
Формула (1.2.2) приводит к следующему выражению, вывод которого содержится в Приложении В:
Умножая (1.2.2) векторно на
, получаем
вследствие того что
Таким образом,
где Н — постоянная, а h — постоянный единичный вектор. Из последнего уравнения следует, что геодезическая лежит в плоскости, перпендикулярной h, а угловой момент по отношению к собственному времени остается неизменным. Угловой момент постоянен только в координатах Шварцшильда. В произвольной метрике, для которой
уравнение (1.2.6) имеет вид
правая часть которого не является постоянной, поскольку x — функция
При этих условиях (1.2.6) эквивалентно уравнению
и, следовательно, уравнение геодезической (1.2.5) в координатах Шварцшильда принимает вид
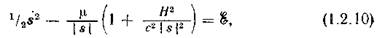
2.1 Уравнение энергии
Умножение уравнения (1.2.9) скалярно на
с последующим интегрированием дает
где
— постоянная интегрирования.
Это выражение можно также получить, исключая
из (1-2.4) и (1.2.3), с условием, что
Это приводит к
Вследствие того что
