Комбинированные орудия для предпосевной обработки почвыРефераты >> Ботаника и сельское хоз-во >> Комбинированные орудия для предпосевной обработки почвы
Если при полностью поднятом агрегате каток все еще касается почвы или находится на слишком малом расстоянии от почвы, то при опущенном культиваторе верхние забивные штифты (12) следует переставить в более низкое отверстие над брусьями. Верхнюю тягу трактора необходимо отрегулировать по длине так, чтобы в рабочем положении рама (15) имела приблизительно одинаковую высоту спереди и сзади и была приблизительно параллельна почве. Положение верхней тяги при этом зависит от требуемого прикатывающего действия катка (14).
Прочесть и соблюдать общие указания по технике безопасности.
Для регулировки рабочей глубины дисковый культиватор разрешается поднимать лишь на несколько сантиметров.
В зоне параллелограммного механизма сферических дисков и катков существует опасность защемления и среза.
2.2.3 Положение крыльев
Положение лап или крыльев системы-компактор можно изменять. При плоском положении крыльев образуется плоский горизонт обработки (носок (5) и крыло (6) работают приблизительно на одной глубине) и уменьшается требуемая тяговая сила. При наклонном положении крыла обеспечивается хорошее втягивание дискового культиватора даже в твердые и сухие почвы.
Если система-компактор оснащена срезным предохранительным устройством, положение лапы и, тем самым, положение крыла изменяется путем переставления срезного болта.
Отверстие "A"
= плоское положение (рекомендуется для тяжелых, липких почв = требуется малая сила тяги)
Отверстие "B"
= крутонаклонное положение (рекомендуется для твердых и сухих почв = улучшенное втягивание)
На системе-компактор с предохранителем от перегрузки положение лап или крыльев изменяется путем демонтажа и переворота эксцентрикового винта (8) на 180°.
Прочесть и соблюдать общие указания по технике безопасности.
Положение лапы изменять только при выключенном приводе и неподвижном двигателе. Вынуть ключ зажигания. Обязательно опереть дисковый культиватор с помощью подходящих подпорок.
Для изменения положения лап (крыльев) пользоваться подходящим инструментом и работать в перчатках.
2.2.4 Срезной предохранитель
Каждая лапа (19) и держатель дисков оборудованы срезным предохранителем от перегрузки со срезным болтом (7), защищающим раму, лапы и держатели дисков от перегрузки. Если срезной болт (7) срезался, необходимо действовать следующим образом:
a) приподнять дисковый культиватор на несколько сантиметров,
б) удалить остатки срезного болта,
в) повернуть лапу или держатель дисков обратно
г) вставить новый срезной болт в ранее использовавшееся отверстие и тщательно затянуть его!
2.2.5 Система-компактор с автоматическим предохранителем от перегрузки
Лапы (19) Системы-компактор оборудованы автоматическим предохранителем от перегрузки с пружиной сжатия (35), специально рассчитанным на каменистые почвы. При сталкивании с препятствием в почве лапа отклоняется назад и вверх, а после преодоления препятствия автоматически возвращается в рабочее положение. Дополнительный срезной предохранитель со срезным болтом (7) защищает дисковый культиватор даже в том случае, если, например, лапа (19) зацепилась за препятствие и более не подается назад и вверх.
В качестве особого оснащения сферические диски также могут быть оснащены индивидуальными автоматическими предохранителями от перегрузки.
2.3 Катки
Система-компактор может быть оснащена трубчато-ребристыми катками D400 или D540.
Прикатывающее действие или эффект повторного укрепления почвы катком (14) регулируется путем изменения положения верхней тяги; при этом регулирующая гидравлика должна быть переключена на плавающее положение или смешанное регулирование (если трактор слишком сильно пробуксовывает). При этом действует следующее правило:
крутонаклонное положение верхней тяги = слабое повторное укрепление почвы
меньший наклон верхней тяги = среднее повторное укрепление почвы
горизонтальное положение верхней тяги = сильное повторное укрепление почвы
Только если трубчато-ребристый каток (в легких песчаных почвах) погружается слишком глубоко и сдвигает почву, а наклон верхней тяги более не возможно увеличить (то есть более не имеется возможности поднять ее конец на агрегате или опустить на тракторе), для уменьшения давления катка на почву следует переключить регулирующую гидравлику трактора на регулирование тяговой силы или смешанное регулирование.
В таких случаях рекомендуется также вместо серийного катка диаметром 400 мм использовать больший каток диаметром 540 мм.
3. Подготовительные работы на тракторе
3.1 Шины
Давление воздуха - в особенности в задних шинах трактора - должно быть одинаковым.
3.2 Подъемные штанги
Подъемные штанги трехточечного механизма трактора с помощью регулировочного механизма следует отрегулировать на одинаковую длину.
3.3 Ограничительные цепи/стабилизаторы
Ограничительные цепи или стабилизаторы должны быть отрегулированы так, чтобы во время работы они всегда допускали небольшую боковую подвижность нижних тяг!
3.4 Регулирование
Для работы переключить гидравлику трактора на "плавающее" или "смешанное" положение!
3.5 Нагрузка на оси
Навешивание агрегатов на передний и задний трехточечный механизм не должно приводить к превышению допустимой общей массы, допустимых нагрузок на оси и нагрузочной способности шин трактора.
Передняя ось трактора всегда должна быть нагружена по меньшей мере 20% собственной массы трактора.
Ниже подробно описан метод определения минимального переднего балласта и повышения нагрузки на заднюю ось:
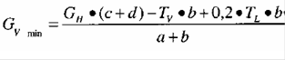
GV = масса переднего балласта (переднего орудия)
TV = нагрузка на переднюю ось трактора без навесного орудия
TL = собственная масса трактора
TH = нагрузка на заднюю ось трактора без навесного орудия
GH = масса орудия
Расчет минимального переднего балласта GVмин:
Расчет повышения нагрузки на заднюю ось:
Расчет минимального переднего балласта и повышения нагрузки на заднюю ось предполагает, что все вышеуказанные размеры и массы известны. Если эти размеры и массы вам не известны и вы не можете их определить, есть только один надежный и точный способ, позволяющий избежать перегрузок: взвесьте ваш трактор с навешенными и приподнятым агрегатом, а затем сравните полученные значения с нагрузками на переднюю и заднюю ось трактора без навесного орудия. В результате вы определите действительную нагрузку на заднюю ось и разгрузку передней оси при навешенном и выглубленном агрегате.
