Оценка заболеваемости корневыми гнилями зерновых культур в лесостепной зоне Челябинской областиРефераты >> Ботаника и сельское хоз-во >> Оценка заболеваемости корневыми гнилями зерновых культур в лесостепной зоне Челябинской области
Таблица 2 – Схема опыта по яровой пшенице и ячменю в Чебаркульском районе
В литрах на тонну
|
Вариант |
Препарат |
Норма расхода препарата | |
|
яровая пшеница |
ячмень | ||
|
1 |
Контроль |
- |
- |
|
2 |
Дивиденд стар |
1,0 |
1,0 |
|
3 |
Стингер |
0,5 |
0,5 |
|
4 |
ВиалТТ |
0,4 |
0,4 |
|
5 |
Бинорам |
0,70 |
0,70 |
|
6 |
Доспех |
0,5 |
0,5 |
|
7 |
Агат 25К |
40 г./т |
40 г./т |
В течение вегетационного периода проводили три учета корневых гнилей:
- первый – фаза всходы (9 июля);
- второй – фаза конец цветения (26 июля);
- третий – фаза восковая спелость (18 августа).
При учетах в 20 точках по диагонали поля отбирали пробы по 10–20 растений в каждой.
Образцы промывали водой, подсчитывали количество погибших, пораженных и здоровых растений. Для учета интенсивности поражения растений мы использовали единую шкалу [9].
0 – признаки болезни отсутствуют;
1 – единичные штрихи, слабое побурение колеоптиле или подземного междоузлия;
2 – сильное побурение подземного междоузлия или основания стебля и узловых корней;
3 – сильное почернение подземного междоузлия, поражение корней, основания стебля, трухлявость;
4 – полное отмирание растений.
Далее находили интенсивность развития заболевания в учетной точке, а потом уже и на поле. Также определяли распространенность болезни, и потери урожая по шкале [15].
Интенсивность поражения рассчитывали по формулам (2, 3, 4):
1) Для определения интенсивности развития заболевания в учетной точке:
(2)
где Rm – интенсивность поражения в учетной точке, %; ΣА раст • b – сумма произведений количества пораженных растений на соответствующий балл пораженности; Np – общее число растений в учетной точке; В-высший балл шкалы учета.
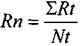
2) Для определения развития заболевания на поле:
(3)
где Rn – интенсивность поражения на поле, %; ΣRt – арифметическая сумма процента интенсивности поражения в точках, %; N t – количество учетных точек.
По интенсивности развития болезни определяли потери урожая [2].
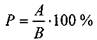
3) Распространенность болезни определяли по формуле:
(4)
где Р – распространенность болезни, %; А – число продуктивных стеблей в пробе; В-общее число пораженных стеблей [9].
Полевой опыт был заложен в полном соответствии с методикой Госсортосети (1985 год) с использованием малогабаритных сеялок, комбайнов и семяочистительной техники.
4. Результаты исследований
4.1 Общее фитосанитарное состояние зерновых культур в Челябинской области за 2006–2007 г.
По данным фитопатологического анализа семян зерновых культур под посев в 2007 году – 67,2% семян заражено корневыми гнилями. В 2006 году – 69%. Все проверенные партии семян были заражены. Как и прежде, преобладали грибы родов Alternaria, Helmintosporium, Fusarium, плесневые грибы родов Aspergillus, Mucor и др. Отмечались и бактериозы, но в меньшей степени, чем в 2006 году.
В 2007 году уменьшилась заспоренность грибами p. Alternaria и составила 50,1%. В прошлом году этот показатель был 59%. Заражение грибами рода Fusarium в 2007 году увеличилось на 0,5%, а заражение грибами рода Helmintosporium увеличилось в 3 раза и составило 9% (в прошлом году этот показатель был 3%), данные показаны в таблице 3.
Таблица 3 – Зараженность зерновых культур по Челябинской области за 2005–2007 гг.
|
Год |
p. Alternaria, % |
p. Fusarium, % |
p. Helmintosporium, % |
Плесневение, % |
Бактериозы, % |
|
2005 |
40,8 |
1 |
2 |
3,9 |
2,2 |
|
2006 |
59 |
1 |
3 |
3,9 |
1,9 |
|
2007 |
50,1 |
1,5 |
9 |
5 |
1,6 |
Зараженность семян пшеницы в 2007 году по сравнению с 2006 годом:
- по фузариозу показатель зараженности увеличился в 1,6 раза и составил 1,6%. Максимальное инфицирование отмечено в Сосновском районе – 10,7%, Аргаяшском – 6,4%, Верхнеуральском – 4,8%, Чебаркульском – 4,5%, Увельском – 3,3%;
- по гельминтоспориозу показатель увеличился в 3,4 раза и составил 6,9%. Максимальное инфицирование отмечено в Пластовском районе – 18%, Чесменском – 11,6%, Троицком – 10,6%, Брединском – 9,2%, Верхнеуральском, Октябрьском – 8,6%, Кизильском – 8,1%;
– по альтернариозу показатель уменьшился в 1,2 раза и составил 48,4%. Максимальное инфицирование отмечено в Еткульском районе – 79,8%, Агаповском – 68,9%, Сосновском – 67%, Каслинском – 66,7%, Карталинском – 64,6%, Аргаяшском – 63,6%, Нагайбакском – 60,4%;
