Мировые цены на нефть и их влияние на экономику РоссииРефераты >> Международные отношения >> Мировые цены на нефть и их влияние на экономику России
= 39,1
= 25809,48
= 7674,35
= 391324687,29
= 1554533,07
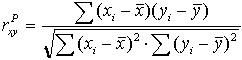
Степень взаимосвязи между реальным объемом ВВП и ценой на нефть марки Urals определим с помощью нормированного коэффициента корреляции Браве-Пирсона.

= 0,8894
Т. к. значение коэффициента корреляции находится в пределах от 0,7 до 0,99, то степень связи между исследуемыми факторами высокая.
Рассчитаем конечный вид уравнений прямолинейной регрессии, используя метод наименьших квадратов МНК
n * a0 + a1 *
xi=
yi; (2)
a0*
xi+a1
xi2=
xi*yi; (3)
14 a0 +533, 19a1 = 335523,2;
533, 19a0 + 27968,79 a1 = 14308941,25
Уравнение прямой регрессии имеет вид:
Y=199,75x +16358
Рисунок №1. Поле корреляции
Вывод.
В долгосрочной перспективе фактический объем прироста ВВП РФ на 88,94% определяется уровнем мировых цен на нефть. С повышением (понижением) цены нефти марки Urals на 1доллар объем реального ВВП страны повышается (снижается) в среднем на 199,75 млрд. руб.
В краткосрочной перспективе постоянно происходящие колебания цен на нефть необязательно означают переход ВВП на новую долгосрочную траекторию роста. Переход к другому уровню нефтяных цен может вызвать отклонения от темпа экономического роста. Может возникнуть либо ускорение постоянного роста ВВП страны, т.е. добавка к постоянному темпу роста, либо замедление постоянного роста ВВП при снижении цен на нефть. При росте мировых нефтяных цен повышается объем экспорта, следовательно, растет уровень ВВП при наличии свободных мощностей и рабочей силы.
2.3 Взаимосвязь между ценами на нефть и внешнеторговым балансом РФ
Мировые цены на нефть оказывают существенное влияние на внешнеторговый оборот РФ.
Исследуем зависимость между объемом экспорта страны (Приложение №13) и динамикой цены нефти марки Urals (Приложение №3), которая является основной российской экспортной маркой с помощью корреляционного и регрессивного анализа.
Таблица №3
Рабочая таблица корреляционного анализа
|
год |
Объем экспорта (млрд. долл) yi |
Цена на нефть Urals (долл) xi |
|
|
|
|
|
1996 |
89,8 |
20 |
-19,01 |
-110,12 |
361,56 |
12127,09 |
|
1997 |
86,8 |
18,4 |
-20,61 |
-112,92 |
424,96 |
12751,62 |
|
1998 |
74,5 |
11,9 |
-27,11 |
-125,42 |
735, 20 |
15730,95 |
|
1999 |
75,7 |
17,3 |
-21,71 |
-124,22 |
471,52 |
15431,37 |
|
2000 |
105,1 |
26,8 |
-12,21 |
-94,82 |
149, 20 |
8991,42 |
|
2001 |
101,8 |
22,8 |
-16,21 |
-97,92 |
262,91 |
9588,93 |
|
2002 |
107,4 |
23,7 |
-15,31 |
-92,52 |
234,54 |
8560,52 |
|
2003 |
135,8 |
27,1 |
-11,91 |
-63,92 |
141,96 |
4086,16 |
|
2004 |
183,3 |
34,2 |
-4,81 |
-16,62 |
23,18 |
276,33 |
|
2005 |
243,9 |
52,1 |
13,09 |
43,98 |
171,23 |
1933,97 |
|
2006 |
303,8 |
61 |
21,99 |
104,08 |
483,36 |
10832,01 |
|
2007 |
355,3 |
69,29 |
30,28 |
155,38 |
916,60 |
24141,99 |
|
2008 |
468,2 |
94,4 |
55,39 |
268,28 |
3067,54 |
71972,51 |
|
2009 |
266,9 |
54,2 |
15, 19 |
66,98 |
230,60 |
4485,91 |
