Экономическое развитие стран за послдение 5 лет (на примере Украины, Белоруссии, Казахстана и Узбекистана)Рефераты >> Международные отношения >> Экономическое развитие стран за послдение 5 лет (на примере Украины, Белоруссии, Казахстана и Узбекистана)
Проведем сравнительный анализ динамики ВВП всех четырех стран по имеющимся данным за последние пять лет:
· Суммарный объем ВВП за 5 лет отражает достигнутые результаты деятельности стран в двух сферах народного хозяйства – материального производства и оказания услуг. Самый высокий суммарный объем ВВП за 5 лет у Украины (320471,7 млн. $ США). На последнем месте – Узбекистан, 57813,7 млн. $ США.
· Средние показатели отражают типичный уровень варьирующегося признака в расчёте на единицу всей совокупности на данном временном интервале. Таким образом, средний объем ВВП Казахстана за 5 лет составил 46750,4 млн. $ США в год, Украины - 64094,3, Белоруссии - 21587,1, Узбекистана - 11562,7.
· Медиана показывает значение, которое приходится на середину всей совокупности. Поэтому данный показатель показывает значение ВВП, приходящееся на середину изучаемого периода времени (среднее значение между 2002 и 2006 гг.).
· Первый квартиль показывает значение признака, делящего наш временной промежуток в соотношении ¼ и ¾., т.е. показывают значения ВВП стран в период с 2002 -2003 гг. А второй квартиль показывает значение ВВП за 2003-2004.
· Дециль - параметр, характеризующий распределение ВВП, т.е. первый дециль будет означать, что ниже данной величины лежат 10% значений ВВП, а девятый дециль – величина, ниже которой будут лежать 90% значений ВВП.
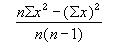
· Дисперсия рассчитывается по следующей формуле:
и используется для дальнейшего определения стандартного отклонения – меры разброса значений случайной переменной относительно ее среднего значения. Данный показатель характеризует степень однородности совокупности.
· Размах вариации – мера разброса максимального и минималного значений ВВП за 5 лет. Коэффициент вариации показывает дисперсию для номинальных переменных.
· Ассиметрия характеризует степень несимметричности распределения относительно среднего значения. Рассчитанные показатели по Казахстану и Узбекистану показывают, что отклонение распределения произошло в сторону положительных значений, а по Украине и Белоруссии – в сторону отрицательных значений.
· Эксцесс характеризует пикообразность динамики ВВП. Т.к. значения данного показателя для всех стран отрицательные, это означает, что рост ВВП за последние 5 лет во всех странах имел плавный поступательный характер.
Рассчитанные выше показатели говорят о том, что Казахстан и Украина являются наиболее быстроразвивающимися странами в своей подгруппе СНГ и имеют высокие положительные коэффициенты прироста, Казахстан – главным образом за счет экспорта ресурсов, а Украина - хорошо развитой промышленности. Однако, Белоруссия и Узбекистан также довольно активно развиваются, благодаря поддержки Россией Белоруссии и выгодному геополитическому расположению Узбекистана.
2.7. Выводы и заключение по полученным результатам статистического анализа
В статистической части нами были использованы различные методы и показатели, отображающие экономическое развитие стран за определенный период; такие, как показатели динамики (коэффициенты роста, темпы прироста), показатели вариации (медиана, дисперсия, стандартное отклонение, квартили, децили и т.д.), еще был применен корреляционно-регрессионный анализ (с помощью программы MS Excel), а также метод прогнозирования при помощи линии Тренда.
Исходя из приведенных выше расчетов, можно с уверенностью сказать, что за последние десять лет первая подгруппа стран-участников СНГ полностью преодолела трансформационный кризис и встала на путь экономического развития, о чем свидетельствуют растущие положительные темпы прироста основных социально-экономических показателей стран. В Казахстане и Узбекистане данный рост экономики объясняется увеличением экспорта ресурсов, и как показывает регрессионный анализ, ВВП стран более чем на 90% зависит от вариации экспорта. А в Украине и Белоруссии рост промышленности способствовал выходу из кризиса, т.к. более чем 90% ВВП зависит от продукции промышленности. Линии Тренда показали положительные тенденции развития почти у всех стран, кроме Узбекистана, однако, результат этот на данный момент полностью зависит от государственной политики каждой страны. Какой путь дальнейшего развития выберет каждая страна, и как точно она будет следовать своим планам. Очевидно, что переход на инновационно-индустриальный путь должен происходить, и темпы роста будут напрямую зависеть от этого, а модель экспортно-ориентированной страны не принесет никаких плюсов в долгосрочном плане.
Заключение
В данной работе была рассмотрена первая подгруппа стран Центральной и Восточной Европы и Азии, четыре государства – наиболее активных стратегических партнера России, их экономическое развитие за последние пять лет и тенденции дальнейшего развития. На основании выше проведенного теоретического и статистического анализа можем сказать, что за последнее десятилетие в национальных экономиках стран СНГ изменились системы внутренних условий хозяйствования, ныне основывающиеся на преимущественно либеральных рыночных отношениях. Существенно увеличилась мера открытости экономики. Однако, хозяйственные связи новых независимых государств пока еще замкнуты на внутренних рынках. Под влиянием мирового рынка экспорт играет большую роль в формировании ВВП стран и базируется в основном на продукции ресурсопроизводящих отраслей – топливно-энергетических и минерально-сырьевых, что делает эти страны еще более уязвимыми к мировому уровню цен на энергоносители. В таких условиях возможный экономический рост в этих странах будет все больше зависеть от внешних источников финансирования, а структурная перестройка экономики практически окажется невозможной.
Новая модель интеграции стран-членов СНГ должна строиться на принципах экономического прагматизма и развитии экономических связей, необходимых для успешного взаимодействия хозяйствующих субъектов и формировании транснациональных бизнес-структур. Очевидно, что переход к инновационно-индустриальному типу экономику нужен все выше рассмотренным странам, также как и России. Поэтому, мы считаем вдвойне необходимым укрепить интегрированность национальных экономик и общий потенциал региона. Однако, СНГ не следует считать геополитической или гоеэкономической альтернативой ЕС или АТЭС. Напротив, успех нашего развития будет зависеть от того, насколько объединительные тенденции на постсоветском пространстве смогут влиться в мировой интеграционный процесс и стать его органичной частью.
Список использованной литературы
1. Геец В. Трансформационные преобразования в Украине: переосмысливая пройденное и думая о будущем. Общество и экономика. 2006 №3, стр. 23-53.
2. Джованни А. Корниа. Загадки роста в Узбекистане и Вашингтонский консенсус. Проблемы теории и практики управления. 2004, №6,стр. 31-37
3. Зиядуллаев Н. СНГ: Выбор стратегии развития. Мировая экономика и международные отношения. 2000 №3, стр. 80-84.
4. Зиядуллаев Н. Современная экономическая ситуация в СНГ. Вопросы экономики. 2006, №5 стр. 80-91
