Настройка конфигураций TCP\IP вручнуюРефераты >> Коммуникации и связь >> Настройка конфигураций TCP\IP вручную
- University of California Los Angeles (UCLA);
- Stanford Research Institute (SRI);
- University of California at Santa Barbara (UCSB);
- University of Utah.
Рождение
В октябре 1969 г. было послано первое электронное сообщение между узлами UCLA (Калифорнийский Университет, Лос-Анджелес) и SRI (Исследовательский Институт Стэнфорда). Говорят, что в самом начале работы эта сеть сразу же "зависла", но процесс пошел.
Вот так четыре удаленных компьютера были объединены в первоначальную конфигурацию ARPANET. Так, собственно и началось становление и рост Internet'а, которому уже, если можно считать, 33 года. Одновременно Р. Кан разработал общую архитектуру сети ARPANET, Л. Робертс разработал топологию и экономические вопросы, Л. Клейнрок представил все средства измерений и анализа сети.
Так и завершился начальный этап становления Интернета.
Основные понятия о Сети
Локальная сеть представляет собой набор компьютеров, периферийных устройств (принтеров и т. п.) и коммутационных устройств, соединенных кабелями.
Подавляющая часть компьютеров западного мира объединена в ту или иную сеть. Опыт эксплуатации сетей показывает, что около 80% всей пересылаемой по сети информации замыкается в рамках одного офиса. Поэтому особое внимание разработчиков стали привлекать так называемые локальные вычислительные сети (LAN). Локальные вычислительные сети отличаются от других сетей тем, что они обычно ограничены умеренной географической областью (одна комната, одно здание, один район).
Существует два типа компьютерных сетей: одноранговые сети и сети с выделенным сервером. Одноранговые сети не предусматривают выделение специальных компьютеров, организующих работу сети. Каждый пользователь, подключаясь к сети, выделяет в сеть какие-либо ресурсы (дисковое пространство, принтеры) и подключается к ресурсам, предоставленным в сеть другими пользователями. Такие сети просты в установке, налаживании; они существенно дешевле сетей с выделенным сервером. В свою очередь сети с выделенным сервером, несмотря на сложность настройки и относительную дороговизну, позволяют осуществлять централизованное управление.
И все компьютерные сети или практически применяют (если так можно назвать базовые топологий) построения локальной сети:
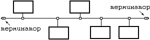
Топология «Шина»
![]() |
Рис.1. Топология «Шина»
Пассивная топология, строится на использовании одного общего канала связи и коллективного использования его в режиме разделения времени. Нарушение общего кабеля или любого из двух терминаторов приводит к выходу из строя участка сети между этими терминаторами (сегмент сети). Отключение любого из подключенных устройств на работу сети никакого влияния не оказывает. Неисправность канала связи выводит из строя всю сеть Все компьютеры в сети “слушают” несущую и не участвуют в передаче данных между соседями. Пропускная способность такой сети снижается с увеличением нагрузки или при увеличении числа узлов.
Для соединения кусков шины могут использоваться активные устройства - повторители (repeater) с внешним источником питания.
Топология “Звезда”
![]() |
Рис. 2. Топология “Звезда”
Концентраторы могут быть как активные, так и пассивные. Если между устройством и концентратором происходит разрыв соединения, то вся остальная сеть продолжает работать. Правда, если этим устройством был единственный сервер, то работа будет несколько затруднена. При выходе из строя концентратора сеть перестанет работать. Данная сетевая топология наиболее удобна при поиске повреждений сетевых элементов: кабеля, сетевых адаптеров или разъемов. При добавлении новых устройств "звезда" также удобней по сравнению с топологией общая шина. Также можно принять во внимание, что 100 и 1000 Мбитные сети строятся по топологии "Звезда".
Топология “Кольцо”
Активная топология. Все компьютеры в сети связаны по замкнутому кругу. Прокладка кабелей между рабочими станциями может оказаться довольно сложной и дорогостоящей если они расположены не по кольцу, а, например, в линию. В качестве носителя в сети используется витая пара или оптоволокно. Сообщения циркулируют по кругу. Рабочая станция может передавать информацию другой рабочей станции только после того, как получит право на передачу (маркер), поэтому коллизии исключены. Информация передается по кольцу от одной рабочей станции к другой, поэтому при выходе из строя одного компьютера, если не принимать специальных мер выйдет из строя вся сеть.
Время передачи сообщений возрастает пропорционально увеличению числа узлов в сети. Ограничений на диаметр кольца не существует, т.к. он определяется только расстоянием между узлами в сети.
![]() |
Рис.3. Топология “Кольцо
Часто на одном компьютере используются сетевые программы разных фирм, работающие одновременно. Для обеспечения совместимости программ Международная Организация по Стандартизации (ISO - International Standards Organization) разработала модель сетевой архитектуры, получившую известность как OSI-модель. Модель Взаимодействия Открытых Систем (Open Systems Interconnect) описывает структуру сетевых уровней. Не все разработчики программ в точности следуют этой модели, однако она дает основы понимания способов взаимодействия сетевых компонент. Получившая широкую известность модель OSI содержит семь дискретных уровней, каждый из которых обеспечивает выполнение определенной части сетевых функций при обмене данными между компьютерами сети, это:
Физический уровень;
Канальный уровень;
Сетевой уровень;
Транспортный уровень;



