Обработка данныхю. Ответы на билетыРефераты >> Коммуникации и связь >> Обработка данныхю. Ответы на билеты
Для эффективного использования этих формул в задачах компьютерной графики более удобной является их матричная запись. Матрицы, соответствующие случаям А, Б и В, строятся легко и имеют следующий вид:
Однако для решения задач компьютерной графики весьма желательно охватить матричным подходом все четыре простейших преобразования (в том числе и перенос), а значит, и общее аффинное преобразование. Этого можно достичь, например, так: перейти к описанию произвольной точки на плоскости, не упорядоченной парой чисел, как это было сделано выше, а упорядоченной тройкой чисел.
Что такое однородные координаты точки, и при решении каких задач они применяются?
Пусть М — произвольная точка на плоскости с координатами х и у, вычисленными относительно заданной прямолинейной координатной системы. Однородными координатами этой точки называется любая тройка одновременно не равных нулю чисел X1, X2, X3, связанных с заданными числами х и у следующими соотношениями:
При решении задач компьютерной графики однородные координаты обычно вводятся так: произвольной точке М (х, у) на плоскости ставится в соответствие точка М*(х, у, 1) в пространстве.
Рис. Преобразование координат точки на плоскости в однородные координаты
Заметим, что произвольная точка на прямой, соединяющей начало координат,
точку О(0, 0, 0) с точкой М*(х, у, 1), может быть задана тройкой чисел вида (hх, hу, h). Будем считать, что h¹0.
Вектор с координатами hx, hy, h является направляющим вектором прямой, соединяющей точки О(0, 0, 0) и М*(х, у, 1).
Эта прямая пересекает плоскость z = 1 в точке (х, у, 1), которая однозначно определяет точку (х, у) координатной плоскости хоу.
Между произвольной точкой с координатами (х, у) и множеством троек чисел вида (hх, hу, h), h¹ 0, устанавливается (взаимно однозначное) соответствие, позволяющее считать числа hх, hy, h новыми координатами этой точки.
В проективной геометрии для однородных координат принято следующее обозначение: х : у : 1 или более общо: X1 : Х2 : X3 (напомним, что здесь непременно требуется, чтобы числа X1 , Х2 , X3 одновременно в нуль не обращались).
Применение однородных координат оказывается удобным уже при решении простейших задач.
Например, при изменении масштаба.
Если устройство отображения работает только с целыми числами (или если необходимо работать только с целыми числами), то для произвольного значения h (например, h = 1) точку с однородными координатами (0,5; 0,1; 2,5) представить нельзя. Однако при разумном выборе h можно добиться того, чтобы координаты этой точки были целыми числами. В частности, при h = 10 - для рассматриваемого примера : (5; 1; 25).
Другой случай. Чтобы результаты преобразования не приводили к арифметическому переполнению, для точки с координатами (80 000; 40 000; 1000) можно взять, например, h = 0,001. В результате получим: (80; 40; 1).
Приведенные примеры показывают полезность использования однородных координат при проведении расчетов. Однако основной целью введения однородных координат в компьютерной графике является их несомненное удобство в применении к геометрическим преобразованиям.
При помощи троек однородных координат и матриц третьего порядка можно описать любое аффинное преобразование плоскости.
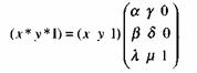
В самом деле, считая h = 1, сравним две записи: помеченную символом * и матричную:
Нетрудно заметить, что после перемножения выражений, стоящих в правой части последнего соотношения, мы получим обе формулы (*) и тождество 1 = 1.
Тем самым сравниваемые записи можно считать равносильными.
Элементы произвольной матрицы аффинного преобразования не несут в себе явно выраженного геометрического смысла. Поэтому чтобы реализовать то или иное отображение, т.е. найти элементы соответствующей матрицы по заданному геометрическому описанию, необходимы специальные приемы. Обычно построение этой матрицы в соответствии со сложностью рассматриваемой задачи и с описанными выше частными случаями разбивают на несколько этапов.
На каждом этапе ищется матрица, соответствующая тому или иному из выделенных выше случаев А, Б, В и Г, обладающих хорошо выраженными геометрическими свойствами.
Выпишем соответствующие матрицы третьего порядка.
А. Матрица вращения (rotation): Б. Матрица растяжения (сжатия) (dilatation):
В. Матрица отражения (reflection): Г. Матрица переноса (translation):
Эти матрицы - составляющие общей матрицы, преобразующей исходную матрицу А графического объекта в матрицу А* преобразованного объекта.
Общая матрица преобразования при известных γ, λ, α, β и μ получается перемножением матриц простейших преобразований V = [R][D][M][T].
Основные свойства матричных преобразований при переходе к трехмерному (3D) преобразованию сохраняются, однако более сложной становится операция вращения, требующая задания оси вращения. Напомним, что однородное представление трехмерной точки имеет вид: (hx, hy, hz, h).
Наличие точных математических моделей графических объектов позволяет относительно легко отображать их на экране монитора, а вычисленные матрицы преобразований дают возможность манипуляции этими объектами на экране как в статике, так и в динамике.
Далеко не всегда удается получить точное функциональное описание объекта. Чаще всего оказывается возможным вычислить только ряд точек графической фигуры. И тогда возникает задача плавного соединения (а не прямыми) этих точек для восстановления на экране изображения воспроизводимой фигуры. Эта задача в компьютерной графике решается с помощью геометрических сплайнов.
Определите понятие геометрического сплайна и приведите формальное описание сплайн-функций.
Термин «сплайн» происходит от английского spline - гибкая полоска стали, при помощи которой чертежники проводили через заданные точки плавные кривые. В былые времена подобный способ построения плавных обводов различных тел, таких, как, например, корпус корабля, кузов автомобиля, а потом фюзеляж или крыло самолета, был довольно широко распространен в практике машиностроения. В результате форма тела задавалась при помощи набора очень точно изготовленных сечений — плазов. Появление компьютеров позволило перейти от этого метода к более эффективному способу задания поверхности обтекаемого тела.
В основе сплайн-подхода к описанию поверхностей лежит использование относительно несложных формул сплайн-функций, позволяющих восстанавливать облик изделия с необходимой точностью.
