Коммуникации и связь. Ответы на билетыРефераты >> Коммуникации и связь >> Коммуникации и связь. Ответы на билеты
От канонической структуры переходят к логической структуре информационной базы, а затем — к физической организации информационных массивов.
Каноническая структура служит также основой для автоматизации основных процессов предпроектного анализа предметных областей систем управления.
Процедуры хранения, актуализации и извлечения данных непосредственно связаны с базами данных, поэтому логический уровень этих процедур определяется моделями баз данных.
Определите понятие база данных.
База данных (БД) определяется как совокупность взаимосвязанных данных, характеризующихся возможностью использования для большого количества приложений, возможностью быстрого получения и модификации необходимой информации, минимальной избыточностью информации, независимостью от прикладных программ, общим управляемым способом поиска.
Возможность применения баз данных для многих прикладных программ пользователя упрощает реализацию комплексных запросов, снижает избыточность хранимых данных и повышает эффективность использования информационной технологии. Минимальная избыточность и возможность быстрой модификации позволяют поддерживать данные на одинаковом уровне актуальности.
Основное свойство баз данных — независимость данных и использующих их программ. Независимость данных подразумевает, что изменение данных не приводит к изменению прикладных программ и наоборот.
Расскажите об основных моделях баз данных.
Модели баз данных базируются на современном подходе к обработке информации, состоящем в том, что структуры данных обладают относительной устойчивостью. Действительно, типы объектов предприятия, для управления которым создается информационная технология, если и изменяются во времени, то достаточно редко, а это приводит к тому, что структура данных для этих объектов достаточно стабильна. В результате возможно построение информационной базы с постоянной структурой и изменяемыми значениями данных.
Каноническая структура информационной базы, отображающая в структурированном виде информационную модель предметной области, позволяет сформировать логические записи, их элементы и взаимосвязи между ними. Взаимосвязи между записями БД могут быть типизированы по следующим основным видам:
• "один к одному", когда одна запись может быть связана только с одной записью;
• "один ко многим", когда одна запись взаимосвязана со многими другими;
• "многие ко многим", когда одна и та же запись может входить в отношения со многими другими записями в различных вариантах.
Применение того или иного вида взаимосвязей определило три основные модели баз данных: иерархическую, сетевую и реляционную.
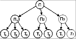
Для пояснения логической структуры основных моделей баз данных рассмотрим пример: разработать логическую структуру БД для хранения данных о трех поставщиках: П1, П2 и П3, которые могут поставлять товары Т1, Т2, Т3 в следующих комбинациях: поставщик П1 — товары Т1, Т2, Т3,
поставщик П2 — товары Т1 и Т2, поставщик Пз — товары Т1 и Тз.
Построим логическую модель БД, основанную на иерархическом подходе.
Иерархическая модель представляется в виде древовидного графа, в котором объекты выделяются по уровням соподчиненности (иерархии) объектов.
Иерархическая модель БД
На верхнем, первом уровне находится информация об объекте "поставщики" (П), на втором — о конкретных поставщиках П1, П2 и П3, на нижнем, третьем, уровне — о товарах, которые могут поставлять конкретные поставщики.
В иерархической модели должно соблюдаться правило: каждый порожденный узел не может иметь больше одного порождающего узла (только одна входящая стрелка); в структуре может быть только один непорожденный узел (без входящей стрелки) — корень. Узлы, не имеющие выходных стрелок, носят название листьев. Узел - это запись.
Для поиска необходимой записи нужно двигаться от корня к листьям, т.е. сверху вниз, что значительно упрощает доступ.
Достоинство иерархической модели данных состоит в том, что она позволяет описать их структуру как на логическом, так и на физическом уровне.
Недостатками иерархической модели данных являются жесткая фиксированность взаимосвязей между элементами данных, вследствие чего любые изменения связей требуют изменения структуры, а также жесткая зависимость физической и логической организации данных.
Быстрота доступа в иерархической модели достигнута за счет потери информационной гибкости (за один проход по дереву невозможно получить информацию о том, какие поставщики поставляют, например, товар Т1).
Указанные недостатки ограничивают применение иерархической структуры.
В иерархической модели используется вид связи между элементами данных ''один ко многим".
Сетевая модель базы данных (взаимосвязь вида "многие ко многим") для поставленной задачи представлена в виде диаграммы связей.
На диаграмме указаны независимые (основные) типы данных П1, П2 и Пз, т.е. информация о поставщиках, и зависимые — информация о товарах
Т1, Т2, и Т3.
В сетевой модели допустимы любые виды связей между записями и отсутствует ограничение на число обратных связей. Но должно соблюдаться одно правило: связь включает основную и зависимую записи.
![]() |
Сетевая модель Базы Данных
Достоинство сетевой модели БД — большая информационная гибкость по сравнению с иерархической моделью.
Недостаток — достаточно жесткая структура, что препятствует развитию информационной базы системы управления.
При необходимости частой реорганизации информационной базы (например, при использовании настраиваемых базовых информационных технологий) применяют наиболее совершенную модель БД — реляционную, в которой отсутствуют различия между объектами и взаимосвязями.
В реляционной модели базы данных взаимосвязи между элементами данных представляются в виде двумерных таблиц, называемых отношениями. Отношения обладают следующими свойствами:
· каждый элемент таблицы представляет собой один элемент данных (повторяющиеся группы отсутствуют);
· элементы столбца имеют одинаковую природу, и столбцам однозначно присвоены имена;
· в таблице нет двух одинаковых строк;
· строки и столбцы могут просматриваться в любом порядке вне зависимости от их информационного содержания.
Преимущества реляционной модели БД:
· простота логической модели (таблицы привычны для представления информации)
· гибкость системы защиты (для каждого отношения может быть задана правомерность доступа)
· независимость данных

