Взаимодействия в коллоидных системах
Содержание
Взаимодействия в коллоидных системах
Взаимодействие двойных электрических слоев и устойчивость коллоидных систем
Уравнение Пуассона-Болъцмана
Контактная теорема и осмотическое давление
Добавление соли и "приближение слабого перекрывания"
Ван дер Ваальсовы взаимодействия и константа Гамакера
Структурные взаимодействия
Гидратные силы отталкивания
Силы, действующие между поверхностями слюды в среде линейного и разветвленного алканов
Гидрофобное притяжение
Силы деплеции
Непосредственное измерение взаимодействий в коллоидных системах
Взаимодействия в коллоидных системах
Потенциал взаимодействия между большими агрегатами или частицами в жидкой дисперсионной среде является эффективным потенциалом. Однако взаимодействие между коллоидными частицами настолько важно, что заслуживает отдельного обсуждения.
Взаимодействие двойных электрических слоев и устойчивость коллоидных систем
Стабилизация или дестабилизация коллоидной системы - это центральная проблема для многих промышленных процессов. Разработаны различные способы ее решения, но наиболее общий подход связан с регулированием электростатических взаимодействий. Если коллоидные частицы заряжены, основное внимание нужно уделять электростатическим взаимодействиям. Заряженные коллоидные частицы присутствуют почти везде - в глине и в почве, в мембранах, в бумаге и в бумажной пульпе, в торфе, красках и т.д. Белки также представляют собой заряженные коллоидные частицы. Заряд коллоидных частиц может возникнуть при диссоциации функциональных групп или в результате специфической адсорбции ионов на частицах. Геометрическая форма частиц может широко варьироваться: в золях присутствуют сферические частицы, глины состоят из плоских частичек, молекула ДНК имеет цилиндрическую форму. Несмотря на это такие системы имеют много общих свойств, которые рассматриваются ниже.
Уравнение Пуассона-Болъцмана
Для простоты ограничим математическое описание двумя плоскими заряженными поверхностями, находящимися друг от друга на расстоянии 2а. Примем, что заряд равномерно распределен по поверхностям, т.е. плотность заряда у одинакова. Согласно результатам моделирования, такую систему можно считать достаточно хорошим приближением. Кроме того, для упрощения примем, что в системе присутствуют только противоионы, способные нейтрализовать заряд поверхностей. Случай с присутствием других солей обсудим позже.
Две заряженные стенки, разделенные раствором, который содержит противоионы. Заряды на стенках равномерно распределены по поверхности и плотность заряда одинакова в любой ее точке. Рассмотрим потенциал ф и объемную плотность заряда р вдали от поверхности. Комбинируя уравнения Пуассона и Больцмана, получают так называемое уравнение Пуассона-Больцмана, описывающее термодинамику заряженной поверхности, которая находится в контакте с водным раствором:
где Z - зарядовое число противоиона и ро-нормировочная константа с размерностью плотности заряда. Уравнение является приближением среднего поля. Уравнение Пуассона-Больцмана для большинства случаев не имеет аналитического решения, поэтому необходимо прибегать к численным решениям. Для рассматриваемого здесь частного случая имеется аналитическое решение:
где величина s задается выражением
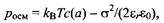
Решение этого уравнения можно получить простой итерацией, начиная с предположения, что s = р/4 и решая уравнение относительно tg S9 что дает более точное значение для S9 и т.д. На рис. показан типичный концентрационный профиль противоионов со значительным накоплением ионов вблизи заряженных стенок. Особенно простое решение получается в том случае, когда правая часть уравнения становится очень большой. При этом условии s стремится к р/2. Это решение имеет ряд интересных свойств. Рассмотрим, что будет происходить при разбавлении системы. Тогда пристеночная концентрация будет стремиться к предельному значению, которое определяется следующим выражением:
Концентрационный профиль однозарядных противоионов между двумя заряженными поверхностями, находящимися в воде на расстоянии 21 А. Поверхностная плотность заряда равна 0.224 Кл/м2. Кривая соответствует уравнению Пуассона-Больцмана, точки - моделированию методом Монте-Карло.
Это означает, что противоионы нельзя полностью удалить. Иногда это явление называют ионной конденсацией. Однако конденсированный слой не связан непосредственно с поверхностью, речь идет о концентрации противоионов вблизи поверхности.
Плотность заряда посредине между стенками описывается следующим уравнением:
Таким образом, при увеличении расстояния между пластинами плотность заряда в центре уменьшается с расстоянием как Ma, независимо от поверхностной плотности заряда. Другими словами, вдали от поверхности ион обнаруживает знак плотности поверхностного заряда, но не ее величину!
Контактная теорема и осмотическое давление
Для стабильности коллоидных систем важна сила, действующая между двумя заряженными стенками. Выражение для силы легко выводится из основных положений, а получающиеся уравнения иногда называют контактными теоремами. Выражение для осмотического давления можно получить из двух независимых контактных соотношений в рамках приближения Пуассона-Больцмана:
,
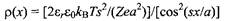
Первое соотношение не содержит корреляционного члена и не является точным. Второе соотношение представляет собой точное выражение. Из данных, приведенных на рис., видно, насколько результаты приближения Пуассона-Больцмана согласуются с результатами моделирования методом Монте-Карло.
Зависимость осмотического давления от поверхностной плотности заряда в отсутствие электролита. Сплошные линии - результаты оценок на основании уравнения Пуассона-Больцмана. Точные зависимости, полученные методом Монте-Карло показаны штриховыми линиями. Расстояние между стенками 21 А: а - однозарядные противоионы; б - двухзарядные противоионы.
Осмотическое давление пропорционально концентрации ионов посередине между заряженными стенками, из чего следует, что отталкивание двойных слоев имеет главным образом энтропийную природу. При сближении заряженных поверхностей вторая поверхность ограничивает объем, в котором находятся противоионы, относящиеся к первой поверхности, и наоборот. Вследствие этих пространственных ограничений для противоионов и возникает отталкивание. В трактовке этого вопроса иногда можно встретиться с недопониманием сути, когда физической природой отталкивания между двумя заряженными коллоидными частицами считают их прямое электростатическое взаимодействие. Эта сила, конечно, имеет электростатическую природу, поскольку у незаряженных коллоидных частиц не существует противоионов, но она проявляется в виде энтропийного вклада. Корреляционный член, показанный на рис., всегда отражает притяжение и имеет ту же природу, что и квантово-механические дисперсионные силы. Он также действует между сферическими макроионами, окруженными противоинами. В этом случае корреляционная свободная энергия уменьшается с расстоянием г между макроионами как г*. Заметим, что величина корреляционного вклада практически одинакова для одно - и двухзарядных ионов. Однако он становится значительным в последнем случае из-за относительно небольшого вклада энтропии. Необходимо твердо помнить о том, что применять уравнение Пуассона-Больцмана для систем с двух - или многозарядными противоионами, а также при очень высоких концентрациях солей следует с очень большой осторожностью.
