Действие озона на насыщенные полимеры
В ходе реакции при больших степенях конверсии становится заметным расходование фенильных циклов (уменьшается интенсивность полосы при – v=1500 см-1) и третичных СН-групп [28]. Судя по сохранению неизменной интенсивности полос поглощения при v=700 и 2930 см-1, соответствующих деформационным и валентным колебаниям СН2-групп,
в начальном периоде реакции они не расходуются –.
Значительные изменения в спектре наблюдаются и в области 1000-
1200 см-1. Уменьшение числа разрешенных полос и общее увеличение интенсивности поглощения свидетельствуют о нарушении симметрии молекул озонированного ПС. Это можно объяснить структурированием вследствие сшивания отдельных цепей при озонировании. Наличие сшивания подтверждается также и тем, что после озонирования значительная часть полимера утрачивает способность растворяться и образует гели.
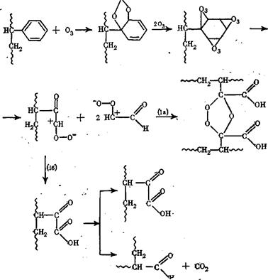
Первичная атака ПС озоном может протекать по трем различным на правлениям.
Реакция (1) приводит к образованию ароматических озонидов, которые составляют основную долю перекисных соединений. По данным ИК-спектроскопии можно оценить их долю, которая составляет 10–15% в расчете на прореагировавший ПС. Промежуточные стадии реакции ответственны за сложные зависимости изменения вязкости растворов во времени при озонировании.
Присоединение первой молекулы озона к ароматическому циклу нарушает сопряжение и значительно облегчает присоединение двух следующих молекул. Первичные озониды нестабильны и легко распадаются на фрагменты, которые быстро соединяются вновь, изменив на 180° пространственную ориентацию (реакция (1а)), либо изомеризуются (реакция (16)). На схеме реакция (1а) приведена условно, демонстрируется та ее часть, которая приводит к появлению сшивок.
Проведение опыта непосредственно в резонаторе ЭПР-спектрометра позволило зафиксировать в продуктах реакции свободные радикалы (рис. 5), причем при непрерывной подаче озона наблюдается спектр пероксирадикалов [29], который после прекращения подачи озона трансформируется в симметричный синглет (g=2,0014). Последний весьма устойчив и сохраняется неопределенно долго. Интенсивность этого сигнала составляет 0,3–0,5 от исходного пероксирадикала. Длительная (20 мин) реакция ПС с озоном сопровождается наложением синглета на сигнал перокси-радикала. Интерпретация синглета затрудняется отсутствием близких аналогов, но можно предположить, что это либо ЭПР-спектр ароматической полисопряженной системы типа полифенилацетилена, либо сложный семихиноидный или феноксильный радикалы.
На рис. 6 приведена зависимость изменения концентрации пероксирадикалов от времени [26]. Снижение стационарной концентрации перекисных радикалов при больших временах обработки обусловлено расходованием реакционноспособных третичных СН-групп при обработке порошка озоном.
Увеличение концентрации радикалов в начальном периоде, по-видимому, связано с образованием в системе одного или нескольких промежуточных продуктов, которые реагируют с озоном легче, чем исходный ПС. На рис. 7 представлены результаты исследования зависимостей концентрации озона при выходе из реактора и накопления стабильных конечных продуктов от времени [30]. Видно, что по мере протекания реакции скорость поглощения озона вначале возрастает, а затем уменьшается. Минимум на кривой [Оз]в – t отвечает максимуму на кривой [R02] – t (рис. 6). Вос-> ходящая ветвь зависимости [03] в – t (рис. 7, а) спрямляется в полулогарифмических координатах (первый порядок расходования третичных С–Н-связей), что тоже соответствует сказанному выше. Природа промежуточного продукта, способного эффективно образовывать радикалы, неясна, поскольку на кривой накопления основных функциональных групп сходных изменений обнаружить не удалось. Расход озона на образование 1 моля функциональных групп составляет 1,4±0,3 моля.
Стационарная концентрация перекисных радикалов является сложной функцией нескольких процессов:

В зависимости от концентрации реагентов, подвижности полимерной матрицы, условий опыта и от природы ближайших соседей механизм превращения перекисных радикалов в продукты реакции может быть различным. При небольших концентрациях озона в растворах преобладают процессы распада макромолекулярных перекисных радикалов, поскольку малая подвижность полимерных цепей препятствует бимолекулярному взаимодействию макрорадикалов. Гибель свободной валентности происходит при встречах вторичных низкомолекулярных радикалов друг с другом и с макромолекулами.
Увеличение концентрации озона сопровождается изменением характера зависимости ММ от времени. При малых концентрациях на ней появляются перегибы (рис. 8, кривая 3), при увеличении концентрации О3 ММ может не изменяться во времени (рис. 8, кривая 4) или может увеличиваться (рис. 8, кривая 5). Такая сложная форма зависимости ММ от концентрации О3 обусловлена протеканием в системе процессов сшивания. Если процессы разрушения макромолекулы обусловлены мономолекулярными реакциями распада радикалов, то сшивание обусловлено бимолекулярными актами взаимодействия промежуточных частиц и, естественно, их доля растет быстрее с увеличением концентрации озона. Независимость ММ от продолжительности озонирования наблюдали еще Грасси и Камерон [24], которые работали в области равновесия процессов распада и сшивания, однако интерпретация этой зависимости была дана неверно. Авторы полагали, что озон присоединился к С=С-связям, удаленным от концов макромолекулы, без изменения ММ. В настоящее время известно, что такой процесс сопровождается значительным уменьшением.
Сшивки, образующиеся в системе, можно разделить на два разных типа. Одни имеют перекисную природу и легко разрушаются под действием тепла [28] или восстановителей [24]. Большая часть таких сшивок, по-видимому, обусловлена образованием полимерных озонидов и в какой-то мере реакциями рекомбинации радикалов
Другие устойчивы к действию тепла и химических агентов. Они образуются главным образом при рекомбинации вторичных радикалов
Их образование характерно, в частности, при взаимодействии озона с твердым ПС. Последовательность реакций, протекающих при действии озона на ПС, несколько отличается от последовательности реакций, протекающих при термоокислительной деструкции ПС [32, 33], в первую очередь тем, что низкие температуры и большие скорости образования радикалов создают условия, в которых доля цепных процессов составляет 15–20% в балансе радикальных реакций, а главная часть продуктов образуется при распаде пероксирадикалов. Кислоты составляют небольшую часть продуктов реакции и могут образовываться как в результате окисления феноксирадикалов или продуктов их превращения, так и в результате разрушения ароматических озонидов. В обоих случаях в продуктах реакции должны присутствовать одинаковые соединения – муравьиная и глиоксалевая кислоты. При окислении твердого ПС содержание кислот, слишком мало и их не удается обнаружить, но при действии озона на ПС в растворе СС14 хроматографически идентифицируются обе указанные кислоты.
