Использование энергосберегающих технологий для кристаллизации сульфата натрия
2. Коэффициент использования площади – 3,5
Расчет:
1. Площадь, занятая под оборудование составляет: 145,215 * 3,5 = 508,253 м3
2. Принимая шаг колонны производственных помещений 12х12 = 144 м2, получим число ячеек под оборудование:
![]()
3,5 = 4
3. Принимаем размер площади под оборудование в здании с шагом колонн 12х12, равен:
12х12х4 = 576 м2
4. Обзор анализ литературных источников и патентные исследования по теме 5 проекта
Обзор и анализ литературных источников
Применение тепловых насосов (ТН) в ряде химико-технологических процессов (ХТП), имеющих дело с парами рабочего тела низкого давления приводит [1-4] к значительной экономии энергетических затрат. Дело в том,/ что повышение давления паров сопровождается ростом температуры конденсации, и становится возможным использовать теплоту их конденсации для испарения того же рабочего тела с более низкой температурой кипения. Затраты энергии на сжатие паров рабочего тела почти на порядок меньше, нежели на производство пара рабочего тела высокого потенциала; поэтому применение ТН экономически выгодно.
ТН особенно перспективны в энергоёмких процессах химической технологии, таких как выпаривание, дистилляция, ректификация, выпарная кристаллизация. Наибольший эффект от ТН возможен в непрерывных крупнотоннажных производствах.
Рассмотрим и оценим эффективность применение различных вариантов ТН на примере модельной схемы непрерывного испарения чистой воды с помощью греющего водяного пара (рисунок 4.1). В кипятильник 1 поступает поток воды W с температурой t1 . Б его трубном пространстве давление равно р; вода там догревается до температуры кипения t, отвечающей р, и целиком переходит во вторичный пар, отводимый сверху. Межтрубное пространство кипятильника обогревается потоком насыщенного водяного пара D более высокого давления Р > р, температурой конденсации Т > t. Конденсат последнего выводится из межтрубного пространства кипятильника.
В аппарате с частичным ТН (ЧТН) лишь часть образующегося в кипятильнике 1 пара сжимается в инжекторе 2 за счёт подачи потока D0 пара высокого давления (рисунок 4.1а). Здесь очевидны недоиспользование пара низкого потенциала (поток (W-Dв) отводится с установки) и значительный подвод свежего пара (поток D0 в инжектор). Тем не менее, как будет показано ниже, этот вариант ТН может при определённых условиях конкурировать с полным ТН (ПТН), изображённым на (рисунок 4.1б). В последнем случае весь образующийся в кипятильнике пар сжимается в турбокомпрессоре 2 до давления греющего пара р и используется для испарения потока подаваемой жидкости W.
Принципиально важным здесь является ответ на вопрос: хватит ли потока вторичного пара W после его сжатия до давления Р. чтобы обеспечить подогрев потока подаваемой жидкости W до температуры кипения при давлении р и полное испарение этого потока.
Ответ на этот вопрос найдём, записав (без учёта теплопотерь в окружающую среду) тепловой баланс для пространственного контура I (кстати, одинакового для всех вариантов ТН, в том числе и для частичного ТН), позволяющий определить необходимый поток греющего пара D:
откуда
Здесь с - теплоёмкость воды (она мало изменяется с температурой; поэтому принята одинаковой для поступающей воды и конденсата); i и h - энтальпии насыщенных паров - вторичного и греющего; r* = i - ct и r** = = h - сТ - теплоты парообразования (конденсации) вторичного (давление р) и греющего (давление Р) пара, соответственно.
После сжатия в компрессоре пар получается перегретым (рисунок 4.2, т.З на диаграмме Р,р- h,i);
Его температура Тп больше температуры Т сухого насыщенного пара (т.4).
Энтальпия перегретого пара h" = h + Сп(Тп - Т), где Сп - теплоёмкость пара, равная 1.98 кДж/(кг К).
Из (1) следует, что при подаче в кипятильник исходной воды с температурой кипения (t1 =t ), тем более при t < t, поток сжатого пара W меньше необходимого потока греющего пара D, т.к. с ростом давления теплота парообразования (конденсации) понижается - см. рисунок 4.2:. Поэтому для полного испарения потока исходной воды W к сжатому вторичному пару требуется, как правило, добавить дополнительный поток D+ свежего греющего пара. Его можно найти из теплового баланса узла смешения
Анализ формул (2) и (3) показывает, что величина D+> 0 при t1<t. При t1~t величина D+=0 за счёт теплоты перегрева сжатого пара, хотя его поток W, безусловно, меньше необходимого потока D греющего пара.
Дополнительный поток D+ может быть уменьшен или совсем исключён путем усовершенствования ТН.
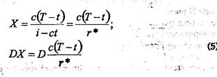
Оно заключается в дросселировании конденсата (он находится при давлении Р и температуре кипения Т) греющего пара до давления вторичного пара р; на рисунке 4.2 эта операция изображается вертикалью 5-6. Как видно из рисунка 4.2, в результате дросселирования получается влажный пар (с температурой t), смещённый к состоянию кипящей жидкости при давлении р. Сухой пар (его доля X во влажном паре, иначе - степень сухости последнего, невелика, но заметна) можно направить на сжатие в компрессор 2, добавив к основному потоку W. Это позволяет в значительной мере скомпенсировать дополнительный поток греющего пара D+. Такой тепловой насос назван нами [14]компенсирующим - КТН. Он отличается от обычного полного ТН наличием дроссельного вентиля 3 и сепаратора 4 {рисунок 4.1в).
Анализ модельной схемы КТН будем вести с обусловленными выше допущениями. Тепловой баланс для пространственного контура I идентичен рассмотренному для схемы на рисунке4. 1б и приводит к выражению (1). Тепловой баланс для пространственного контура II, охватывающего дроссельный вентиль (в нём не происходит изменения энтальпии) и сепаратор, имеет вид:
Отсюда находим степень сухости пара X и его поток DX, направляемый на сжатие
В случае самоиспарения перегретой воды величина X реально близка к 0,05; в случае органических жидкостей она может превышать 0,1 [14]
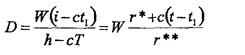
Из материального баланса узла III видно, что в компрессоре теперь сжимается поток пара W+DX. Из теплового баланса узла IV можно найти дополнительный поток пара, необходимый чтобы обеспечить подогрев потока подаваемой жидкости W до температуры кипения при давлении р и полное испарение этого потока:
Анализ формулы (8) приводит к выводу, что при питании кипятильника водой при температуре кипения получается D+< 0. Это означает, что в рассматриваемом случае не только не требуется дополнительного пара, но даже появляется возможность отводить некоторое количество пара (-D+ ≡ Е) стороннему потребителю, как показано штриховой линией на рисунке 4.1в. Либо можно подавать в кипятильник воду ниже температуры кипения в соответствии с формулой (7) при D+ - 0.
