Исследование и разработка технологических основ получения материалов на основе системы Ca-I-Cu-O по методу электрохимического внедрения
На защиту выносятся:
1.Поляризационные измерения на меди и оксидированной меди в неводных растворах перхлората кальция и хлорида иттрия, являющиеся основой для объяснения кинетических закономерностей процесса катодного внедрения (влияние природы растворителя, потенциала и времени катодной поляризации, температуры процесса, материала подложки).
2.Структурные и фазовые исследования оксидов системы У-Са-Си-О, •позволявшие оценить динамику образования и формирования оксидного пленочного электрода в различных условиях, его получения (влияние мольного соотношения СаУ, времени процесса); вторичная масоспектрометрия, рентгеноструктурный анализ.
3. Технологические рекомендации по формированию электрохимическим способом на металлических подложках оксидных пленок системы У-Са-Си-0 со структурой, подобной ВТСП.
ОСНОВНОЕСОДЕРЖАНИЕРАБОТЫ
В первой главе проанализированы литературные данные по электрохимическому поведению меди в апротонных органических растворах, включая механизм и кинетику процесса разряда-ионизации меди и влияние природы растворителя; по механизму образования и структуре оксидных слоев на меди; по модифицированию поверхностных свойств металлооксидных материалов путем электрохимической обработки по методу катодного внедрения; по механизму электрохимического восстановления кальция на поверхности оксидных электродов при влиянии различных факторов: состава раствора, природы материала электрода. Кроме того, уделено внимание современным представлениям о механизме возникновения сверхпроводимости в металлах и оксидах, рассмотрены методы синтеза и электрохимия оксидных ВТСП, в частности, нестехиометрических систем Ме-У-Си-0 Me: Ва, h , Ј.0. и др.
Вторая глава посвящена описанию объектов и методов исследований. Использованные в работе электрохимические методы: потенциостатический, потенциодинамический, гальваностатический, метод переменного тока, бестоковая хронопотенциометрия, метод катодного внедрения. Для определения состава и структуры оксидных пленочных электродов, а также их свойств, использованы методы вторичной ионной масс-спектрометрии, рентгеноструктурный I анализ и оптическая микроскопия. Измерена магнитная восприимчивость системы У-Са-Си-0. Представлены методики подготовки растворов электролитов и электродов перед электрохимическими измерениями, а также образцов меди до и после формирования оксидных слоев различного состава для физико-химических исследований. Результаты измерений обрабатывались с помощью статистических методов.
Третья глава посвящена исследованию кинетики электрохимического формирования оксидных слоев на меди в бихроматных растворах при потенциалах пассивного состояния и диэлектрических свойств этих слоев. Согласно результатам потенциометрии, рентге-нофазового анализа и оптической микроскопии, образующиеся оксидные слои содержат фазы СО и СиО, которые взаимодействуют с внедряющимися атомами чужеродных металлов, обеспечивая высокие адгезионные свойства медной основы. Микроструктурные исследования показали также, что при электровыделении чужеродных металлов (Zn, Cat, У) на Си электроде в потенциостатическом режиме идет непосредственно внедрение этих металлов в электрод, и для обеспечения адгезионных свойств медной фольги электрохимическое оксидирование ее становится излишним. Таким образом, катодное внедрение чужеродных металлов происходит как в структуру самой меди, так и в структуру оксидного слоя. Оксидный слой содержит оксиды Си(1)и Си и обладает диэлектрическими свойствами.
В четвертой главе представлены результаты исследования катодного внедрения кальция в медь из растворов Са(С10) 2 и CaHg)g в ДМВ и ПК в интервале потенциалов Е (-2,0 . -3,4 В), температур (+70 .-70 °С), концентраций раствора С U.-.0.1 моль/л) и длительности катодной поляризации Cb. 24 ч.). Кроме того, представлены результаты изучения влияния оксидной пленки, сформированной в различных экспериментальных условиях, на электрохимические свойства системы окс.Си/Са .
Зависимость GL Са от 4окс как в подкисленном растворе КО, так и в растворах ОН и КОН, имеет экстремальный характер. Наибольшее количество Са внедряется в Си-0, если время оксидирования не превышает 20 с.
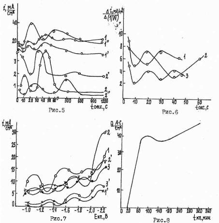
Пятая глава включает рассмотрение кинетики катодного внедрения иттрия в медь. Зависимость Ь- Евд(рис.7) имеет ступенеобразный ход, указывающий на образование различных по составу фаз внедрения. При кратковременной поляризации выполняется характерная для протекания процесса в диффузионном режиме квадратичная зависимость Q* - Етщ; при длительной поляризации она переходит в линейную vjp характерную для замедленной химической стадии суммарного процесса внедрения. При длительной предварительной поляризации зависимость & - "t-j характеризуется S-образным ходом. Можно предположить, что предварительное накопление У в электроде сопровождается изменением стехиометрического состава формирующейся фазы и кинетической константы роста слоя этой фазы в толщину: угловой коэффициент меняется от 0,90 до 0,095 (рис.8^т.н. почти на порядок снижается скорость накопления У в электроде. При замене ДШ> на ПК величины Я и GVW уменьшаются в 3-4 раза, а значение i-0 почти на порядок. Изменение' концентрации У3* в растворе не сказывается на основном кинетическом законе: при длительной поляризации прослеживается линейная зависимость - характерный признак протекания процесса катодного внедрения. Зависимость к- 1/Т и t- l/T имеет излом, который может быть связан с изменением состава образующейся на электроде фазы. Величина энергии активации при температурах ниже 30 °С возрастает более чем в 4 раза.
Согласно диаграммам импеданса система может быть представлена моделью двухстадийной реакции, сопровождаемой адсорбцией промежуточного продукта
У 3+ + e-_il. у 2+ . у 2+ + 0Си + 2Q-Jl у(Си;
или X У 2+ + D Си + 2хе~ -М- УС , где У 2+ - частично восстановленная форма, участвующая в реакции катодного внедрения. Исследование особенностей катодного поведения СО при Е показало, что на начальном этапе плотность тока возрастает в несколько раз.
Процесс по механизму периодических окислительно-восстановительных реакций в твердой фазе и позволяет предположить, что в системе у-Си-0 возможно формирование структур со сверхпроводящими свойствами.
Материал подложки (Fe; Al, Ma.) электрода оказывает сильное влияние на кинетику внедрения иттрия. Как на начальном этапе поляризации, так и в стационарных условиях величина i для оксидированных электродов характеризуется рядом
Си(Ре) > Си(А1)> Си(Ма)
Последовательность ряда нарушается при последующем модифицировании слоев фазы У-Си-0 кальцием: более чем на порядок возрастает на УС(Мо)^0 электроде, практически остается в тех же пределах для У-Си(А1)-0 и становится ниже в случае подложки из стали. Вместе с тем на начальном этапе токи внедрения Са в У-Си(Ме)-0 выше, чем иттрия в Си(Ме)-0 электроды. Последовательность в ряду активирующего влияния материала подложки может меняться с изменением температуры (рис.4). Характер зависимости lut- l/T позволяет говорить, что периодические окислительно-восстановительные процессы в формируемых фазах состава У-Си-0, Са-У-Си-0 сопровождаются структурными преобразованиями, чувствительными к материалу подложки.
